logo

Crowdly

Browser

Add to Chrome

Технології цифрової обробки сигналів і зображень

Looking for Технології цифрової обробки сигналів і зображень test answers and solutions? Browse our comprehensive collection of verified answers for Технології цифрової обробки сигналів і зображень at vns.lpnu.ua.

Get instant access to accurate answers and detailed explanations for your course questions. Our community-driven platform helps students succeed!

Твердження, що сигналові в частотній області  відповідає , характеризує властивість

дискретного

перетворення Фур’є

:

View this question

 є:

View this question

Твердження, що сигналові в області Z відповідає , характеризує властивість Z-перетворення:

View this question

Умовою

існування перетворення Фур

є дискретного сигналу є

View this question

Вираз є

0%
0%
0%
0%
View this question

Вираз  є:

View this question

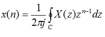
Формула

визначає

View this question

Твердження,

що сигналові

 в області Z

відповідає , характеризує властивість Z-перетворення

View this question
Вихідний сигнал нерекурсивного ЦФ не залежить від попередніх його значень:
View this question
Обчислення прямого і оберненого дискретного перетворення Фур’є вимагають однакової кількості операцій множення:
View this question

Want instant access to all verified answers on vns.lpnu.ua?

Get Unlimited Answers To Exam Questions - Install Crowdly Extension Now!

Browser

Add to Chrome