logo

Crowdly

Browser

Add to Chrome

КРОК 1

Looking for КРОК 1 test answers and solutions? Browse our comprehensive collection of verified answers for КРОК 1 at vns.lpnu.ua.

Get instant access to accurate answers and detailed explanations for your course questions. Our community-driven platform helps students succeed!

Якi продукти утворюються при нагрiваннi щавлевої кислоти (HOOC−COOH) з

концентрованою сульфатною кислотою (H2SO4)?

0%
0%
100%
0%
0%
View this question

Вкажіть правильний продукт реакції

100%
0%
0%
0%
0%
View this question

Бензальдегід в умовах реакції Канніццаро утворює:  

View this question

Який з наведених спиртiв при окисненнi утворює ацетон?

View this question

Який продукт утворюється при взаємодії пропіонового альдегіду з PCl5?

0%
100%
0%
0%
0%
View this question

Як називається альдегід наступної будови:

0%
100%
0%
0%
0%
View this question

При взаємодiї речовин за схемою одержують:

View this question

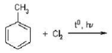
Вкажiть речовину, що утворюється при здiйсненнi даної реакцiї:

0%
0%
0%
100%
0%
View this question

Оберiть правильну назву продукту реакцiї взаємодiї оцтового альдегiду з гiдразином:

0%
100%
0%
0%
0%
View this question

Визначте продукт нижченаведеної реакцiї:

 

100%
0%
0%
0%
0%
View this question

Want instant access to all verified answers on vns.lpnu.ua?

Get Unlimited Answers To Exam Questions - Install Crowdly Extension Now!

Browser

Add to Chrome