logo

Crowdly

Browser

Add to Chrome

Загальна фізика (спеціальнсть 126 "Інформаційні системи та технології")

Looking for Загальна фізика (спеціальнсть 126 "Інформаційні системи та технології") test answers and solutions? Browse our comprehensive collection of verified answers for Загальна фізика (спеціальнсть 126 "Інформаційні системи та технології") at vns.lpnu.ua.

Get instant access to accurate answers and detailed explanations for your course questions. Our community-driven platform helps students succeed!

Яке з рівнянь визначає першому закону термодинаміки

для адіабатного процесу?

View this question

Що є причиною, яка викликає процес дифузії?
View this question

Для існування постійного електричного струму необхідні:

0%
0%
0%
0%
0%
View this question

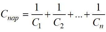
Яке із співвідношень відповідає ємності паралельно

з

єднаних кон­денсаторів?

View this question

Газ переходить зі стану 1 у стан 2 (див. рис.). 

Яку роботу він

виконує? Результат подати у кілоджоулях.

View this question

Ідеальний газ виконує коловий про­цес. Роботу розширення газу дорівнює:

View this question

Дія сил відштовхування між молекулами реального

газу приво­дить до:

0%
0%
0%
0%
0%
View this question

Через поперечний переріз

провідника проходить заряд

q = 0,13 Кл за час t = 7 хв.

Визначити силу струму

I (в А) у провіднику.

View this question

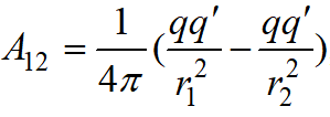
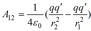
Яке з наведених співвідношень відповідає роботі під

час пере­міщення заряду

q з точки 1 у точку 2?

0%
0%
0%
0%
0%
View this question
Як зміниться ЕРС індукції, якщо кількість витків котушки зменшити в 2 рази і вдвічі збільшити радіус витків?
0%
0%
0%
0%
0%
View this question

Want instant access to all verified answers on vns.lpnu.ua?

Get Unlimited Answers To Exam Questions - Install Crowdly Extension Now!

Browser

Add to Chrome