logo

Crowdly

Browser

Add to Chrome

Загальна фізика (спеціальнсть 126 "Інформаційні системи та технології")

Looking for Загальна фізика (спеціальнсть 126 "Інформаційні системи та технології") test answers and solutions? Browse our comprehensive collection of verified answers for Загальна фізика (спеціальнсть 126 "Інформаційні системи та технології") at vns.lpnu.ua.

Get instant access to accurate answers and detailed explanations for your course questions. Our community-driven platform helps students succeed!

Зображено траєкторію руху тіла, кинутого під кутом до горизонту.

У якій точці

траєкторії кінетична енергія максимальна? Опір повітря

не вра­хо­вувати.

0%
0%
0%
0%
View this question
Довжиною хвилі називається:
0%
0%
View this question

Закінчіть фразу: «Дві хвилі

називаються когерентними, якщо мають...

0%
100%
0%
0%
0%
View this question

На якому з рисунків напрямки векторів ω і ε відповідають

прискореному обертанню диска?

Кутова швидкість змінюється із ω1 до ω2.

View this question

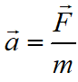
Який вираз визначає другий закон Ньютона?

View this question

Яка з формул визначає залежність координати х від часу t

при

прямолінійних гармонічних коливаннях вздовж осі координат

ОХ?

0%
0%
0%
0%
0%
View this question

Числове значення хвильового вектора

становить

k

. Визначити

довжину (у м) хвилі λ.

k = 0,02512 см-1

View this question

В якому випадку

відбувається резонанс?

View this question

За якого значення кута між векторами сили та переміщення не виконується робота?

View this question

Як зміниться кінетична енергія диска з нерухомою

віссю обер­тання, якщо у

k

разів збільшиться кількість

обертів на хвилину?

View this question

Want instant access to all verified answers on vns.lpnu.ua?

Get Unlimited Answers To Exam Questions - Install Crowdly Extension Now!

Browser

Add to Chrome