logo

Crowdly

Browser

Add to Chrome

Загальна фізика (спеціальнсть 126 "Інформаційні системи та технології")

Looking for Загальна фізика (спеціальнсть 126 "Інформаційні системи та технології") test answers and solutions? Browse our comprehensive collection of verified answers for Загальна фізика (спеціальнсть 126 "Інформаційні системи та технології") at vns.lpnu.ua.

Get instant access to accurate answers and detailed explanations for your course questions. Our community-driven platform helps students succeed!

Лампа розжарювання потужністю Р = 58 Вт розра­хована на напругу U = 260 В.

Визначити опір R лампи.

View this question

Закінчіть фразу: «Ентропія замкненої

системи може..

View this question

За графіками визначити тіло, яке рухається з меншою

за модулем швидкістю у напрямку осі

0X

View this question

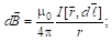
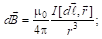
Який з

виразів визначає закон Біо-Савара-Лапласа?

View this question

За якою формулою

обчислюється опір електричного кола, зображеного на рисунку?

0%
0%
0%
0%
0%
View this question

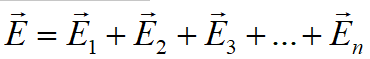
Який вираз є математичним записом принципу

суперпозиції електрич­них полів?

View this question

Величина роботи, виконаної

силами електростатичного поля п

ід час переміщення

електричного заряду вздовж замкнутої кривої:

View this question

Через поперечний переріз

провідника проходить заряд

q = 0,45 Кл за час t = 7 хв.

Визначити силу струму

I (в А) у провіднику.

View this question

Який

із виразів визначає магнітний потік

ΦВ

через поверхню контуру, якщо цей потік

створений електричним струмом

І, котрий тече у контурі?

View this question

Ємність конденсатора C

у

коливальному контурі збільшують в 1,5 ра

­за, а індуктивність котушки L збільшують  у 6 разів.

Як зміниться частота вільних електромагнітних

коливань у цьому контурі?

View this question

Want instant access to all verified answers on vns.lpnu.ua?

Get Unlimited Answers To Exam Questions - Install Crowdly Extension Now!

Browser

Add to Chrome