logo

Crowdly

Browser

Add to Chrome

Математичні методи дослідження операцій [02850]

Looking for Математичні методи дослідження операцій [02850] test answers and solutions? Browse our comprehensive collection of verified answers for Математичні методи дослідження операцій [02850] at vns.lpnu.ua.

Get instant access to accurate answers and detailed explanations for your course questions. Our community-driven platform helps students succeed!

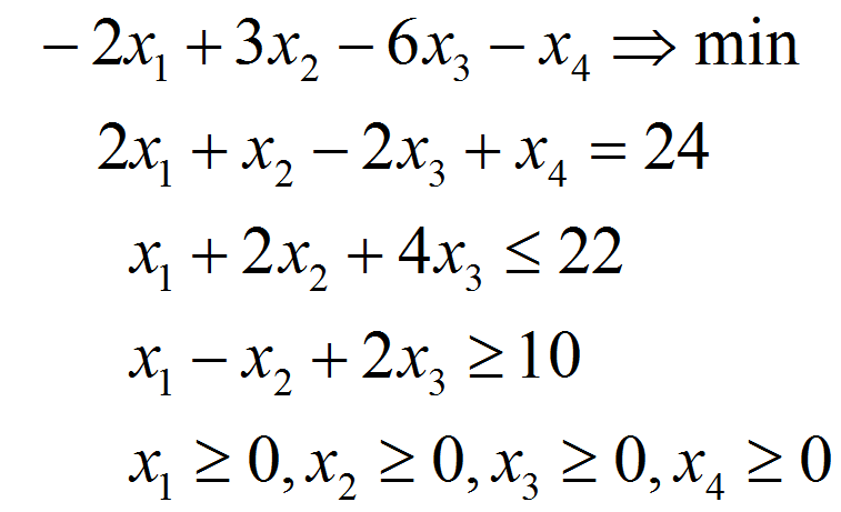
Розв'язати задачу лінійного програмування за допомогою двоїстого симплекс-методу

 

0%
View this question

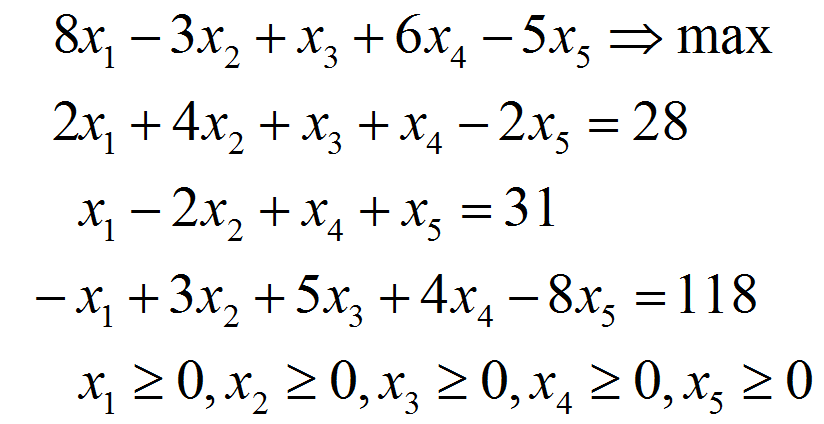
Розв'язати задачу лінійного програмування за допомогою двоетапного методу

 

View this question

З якою метою використовується двоетапний метод?

View this question

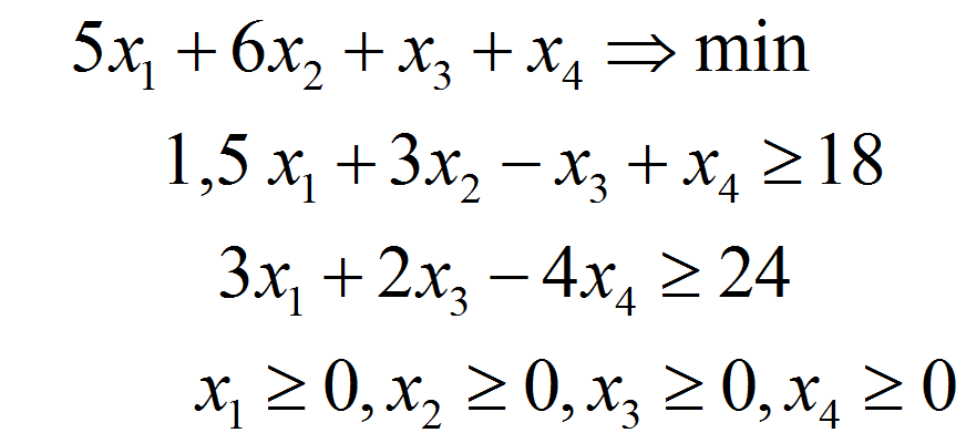
Розв'язати задачу лінійного програмування за допомогою методу великих штрафів

 

View this question

Для виробництва двох видів виробів – А та Б підприємство використовує 3 види сировини. Норми витрат сировини на виготовлення одиниці продукції кожного виду наведені в таблиці (там же вказаний прибуток від реалізації одиниці виробу кожного виду та загальна кількість сировини кожного виду, яку підприємство може використати для виробництва виробів.

  

Вид сировини

Норми витрат сировини на виріб

Загальна кількість сировини

А

Б

І

12

4

300

ІІ

4

4

120

ІІІ

3

12

252

Прибуток від реалізації одного виробу

30

40

 

 Необхідно побудувати математичну модель задачі та визначити кількості випуску виробів А та Б, які забезпечать максимальний прибуток підприємства.

(Розв'язати задачу за допомогою симплекс-методу)

View this question

З якою метою використовується метод великих штрафів?

View this question

Симплекс-метод використовує ідею:

View this question

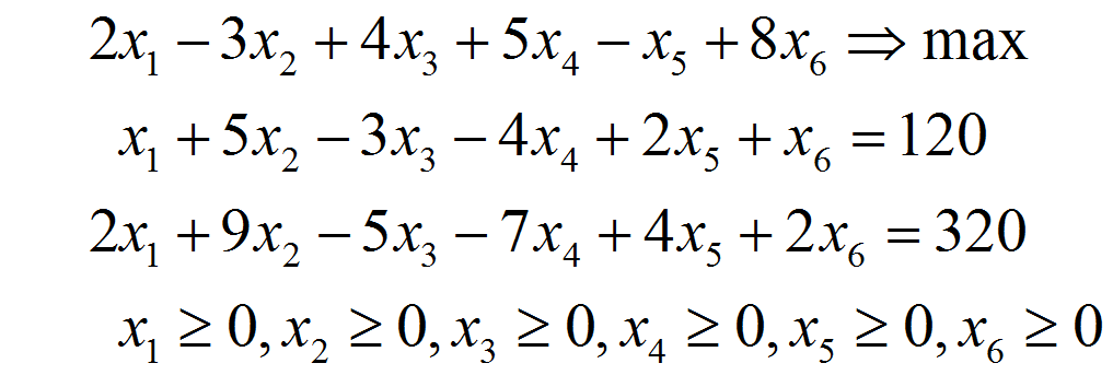
Розв'язати задачу лінійного програмування за допомогою симплекс-методу

 

View this question

З якою метою використовується модифікований симплекс-метод?

View this question

Перерахуйте особливі випадки у задачі лінійного програмування

View this question

Want instant access to all verified answers on vns.lpnu.ua?

Get Unlimited Answers To Exam Questions - Install Crowdly Extension Now!

Browser

Add to Chrome