logo

Crowdly

Browser

Add to Chrome

Опір матеріалів [03970]

Looking for Опір матеріалів [03970] test answers and solutions? Browse our comprehensive collection of verified answers for Опір матеріалів [03970] at vns.lpnu.ua.

Get instant access to accurate answers and detailed explanations for your course questions. Our community-driven platform helps students succeed!

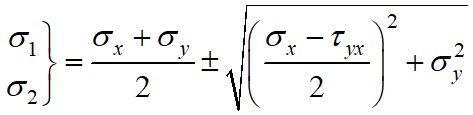
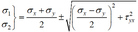
Величина

головних напружень для плоского напруженого стану знаходиться з виразу:

View this question

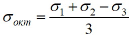
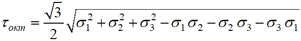
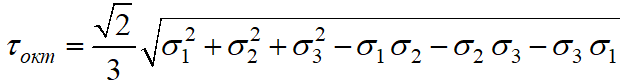
Октаедричне дотичне напруження при об’ємному  напруженому

стані має вигляд …

View this question

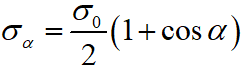
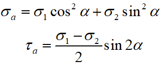
За якою формулою

визначаються нормальні напруження в нахиленому перерізі стрижня при

розтягу-стиску?

View this question

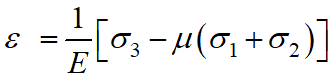
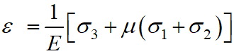
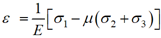
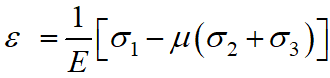
При дії

головних напружень

у виділеному з

тіла безмежно малому елементі виникатимуть в напрямку цих напружень деформації

, які визначаються із узагальненого закону Гука. Яка з

них буде

деформація 1

View this question

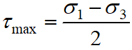
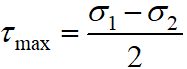
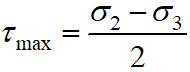
Максимальне дотичне напруження

при об’ємному  напруженому стані має

вигляд …

View this question

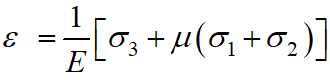
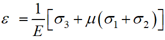
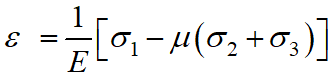
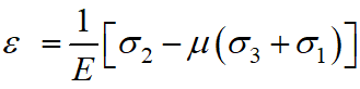
При дії

головних напружень

у виділеному з

тіла безмежно малому елементі виникатимуть в напрямку цих напружень деформації

, які визначаються із узагальненого закону Гука. Яка з

них буде

деформація 3

View this question

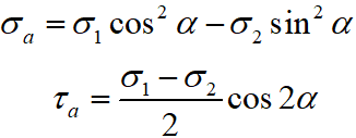
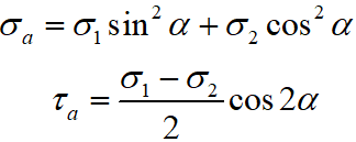
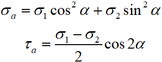
Напруження

на похилих площинках при плоскому напруженому стані знаходяться за формулами:

View this question

Напружений

стан в будь-якій точці може вважатись відомим, якщо відомо…

0%
0%
0%
View this question

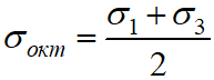
Октаедричне нормальне

напруження при об’ємному  напруженому

стані має вигляд …

View this question

При дії

головних напружень

у виділеному з

тіла безмежно малому елементі виникатимуть в напрямку цих напружень деформації

, які визначаються із узагальненого закону Гука. Яка з

них буде

деформація 2

View this question

Want instant access to all verified answers on vns.lpnu.ua?

Get Unlimited Answers To Exam Questions - Install Crowdly Extension Now!

Browser

Add to Chrome