logo

Crowdly

Browser

Add to Chrome

Дискретна математика

Looking for Дискретна математика test answers and solutions? Browse our comprehensive collection of verified answers for Дискретна математика at vns.lpnu.ua.

Get instant access to accurate answers and detailed explanations for your course questions. Our community-driven platform helps students succeed!

Спростити формулу.

0%
100%
0%
0%
0%
0%
0%
0%
0%
View this question

Спростити формулу

0%
0%
0%
100%
0%
0%
0%
0%
0%
View this question

Спростити формулу.

0%
0%
100%
0%
0%
0%
0%
0%
0%
View this question

Задано предикати P(x,y)

та Q(x,y)

у предметній області D{a,b} таблицею:

x

a

a

b

b

y

a

b

a

b

P

0

1

0

1

Q

1

0

0

1

Визначте, чи є формула істинною або хибною.

0%
0%
100%
View this question

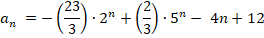
Знайти розв’язок рекурентного рівняння

0%
0%
100%
0%
0%
0%
0%
0%
View this question

Спростити логічний вираз:

0%
0%
0%
0%
0%
0%
100%
0%
0%
0%
View this question
Нехай 8324751 – задана перестановка. Знайдіть лексикографічно наступну перестановку.
100%
0%
0%
0%
0%
0%
0%
0%
View this question

Знайти розв’язок рекурентного рівняння

0%
0%
0%
0%
0%
0%
0%
100%
0%
View this question

Спростити логічний вираз:

0%
0%
0%
0%
0%
0%
0%
100%
0%
0%
View this question

Задано предикати P(x,y)

та Q(x,y)

у предметній області D{a,b} таблицею:

x

a

a

b

b

y

a

b

a

b

P

0

1

0

1

Q

1

0

0

1

Визначте, чи є формула істинною або хибною.

100%
0%
0%
View this question

Want instant access to all verified answers on vns.lpnu.ua?

Get Unlimited Answers To Exam Questions - Install Crowdly Extension Now!

Browser

Add to Chrome