logo

Crowdly

Browser

Add to Chrome

Основи програмування, частина 1

Looking for Основи програмування, частина 1 test answers and solutions? Browse our comprehensive collection of verified answers for Основи програмування, частина 1 at vns.lpnu.ua.

Get instant access to accurate answers and detailed explanations for your course questions. Our community-driven platform helps students succeed!

З файла S прочитати матрицю А (10, 10), обчислити суму елементів, розміщених над головною діагоналлю.
View this question

Ввести рядок S1, довжиною до 70 символів. Видалити всі зайві голосні літери (a, o, u, i, j, e), які дублюються в цьому рядку.

View this question
<!-- /* Style Definitions */ p.MsoNormal, li.MsoNormal, div.MsoNormal {mso-style-parent:""; margin:0cm; margin-bottom:.0001pt; mso-pagination:widow-orphan; font-size:12.0pt; font-family:"Times New Roman"; mso-fareast-font-family:"Times New Roman";} @page Section1 {size:612.0pt 792.0pt; margin:2.0cm 42.5pt 2.0cm 3.0cm; mso-header-margin:36.0pt; mso-footer-margin:36.0pt; mso-paper-source:0;} div.Section1 {page:Section1;} --> Знайти мінімальні елементи кожного рядка матриці Z(6,8) і записати їх у масив W у порядку зростання.
View this question

Знайти область визначення функції. За допомогою операторів циклу протабулювати задану функцію. Результати подати у вигляді таблиці

тест

 

View this question

Скласти програму знаходження змінної Y для різних значень аргументу X, використовуючи оператори IF та (чи) CASE. Вивести на друк значення аргументу, функції і проміжних змінних. Передбачити у програмі обхід арифметичних операцій, які можуть при певних значеннях аргументу X мати невизначений результат, тобто ділення на нуль, добування кореня парного степеня з від’ємного числа, логарифма від’ємного числа, тощо.

 

View this question

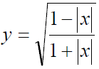
Написати програму реалізації математичного виразу:

аргументи формули вводяться із клавіатури. А констранти задами в розділі констант.

View this question

Знайти область визначення функції. За допомогою операторів циклу протабулювати задану функцію. Результати подати у вигляді таблиці

 

View this question

Скласти програму знаходження змінної Y для різних значень аргументу X, використовуючи оператори IF та (чи) CASE. Вивести на друк значення аргументу, функції і проміжних змінних. Передбачити у програмі обхід арифметичних операцій, які можуть при певних значеннях аргументу X мати невизначений результат, тобто ділення на нуль, добування кореня парного степеня з від’ємного числа, логарифма від’ємного числа, тощо.

 

View this question

Написати програму реалізації математичного виразу:

аргументи формули вводяться із клавіатури. А констранти задами в розділі констант.

View this question

Необхідна розгорнута відповідь із поясненням, описами, характеристиками, прикладами команд у різних ситуаціях програмування на тему: 

Програмування лінійних і розгалужених процесів у мові програмування

 
View this question

Want instant access to all verified answers on vns.lpnu.ua?

Get Unlimited Answers To Exam Questions - Install Crowdly Extension Now!

Browser

Add to Chrome