logo

Crowdly

Browser

Add to Chrome

Розрахунок і конструювання машин та апаратів хімічної технології, ч. 2 [05590]

Looking for Розрахунок і конструювання машин та апаратів хімічної технології, ч. 2 [05590] test answers and solutions? Browse our comprehensive collection of verified answers for Розрахунок і конструювання машин та апаратів хімічної технології, ч. 2 [05590] at vns.lpnu.ua.

Get instant access to accurate answers and detailed explanations for your course questions. Our community-driven platform helps students succeed!

Які види

з'єднання можуть використовуватися для з'єднання опор з резервуаром?

0%
0%
0%
0%
View this question

Які матеріали

використовують для виготовлення опор під горизонтальні резервуари?

0%
0%
0%
0%
View this question

Які компоненти

складають сталеву опору для горизонтального резервуару?

0%
0%
0%
0%
View this question

Яку функцію виконує прокладка в

фланцевому з'єднанні?

0%
0%
0%
0%
View this question

Які напруження можуть виникати в

місці кріплення опорної лапи до резервуару?

0%
0%
0%
0%
View this question

З яких матеріалів можуть бути виготовлені опорні лапи?

0%
0%
0%
0%
View this question

Як виготовляються лапи для вертикальних резервуарів?

0%
0%
0%
0%
View this question

На які

опори можуть бути встановлені вертикальні циліндричні

апарат

и з плоскими

днищами і прямокутні резервуари?

0%
0%
0%
0%
View this question

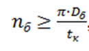
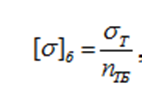
Я

кщо

розрахункова температура болтів (шпильок) 

перевищує для вуглецевих сталей 280

О

С, низьколегованих – 420

ОС, аустенітних - 525 ОС, то допустиме напруження розраховують за формулою:

0%
0%
0%
0%
View this question

Який тип роз'ємних з'єднань застосовується рідко у машинобудуванні?

0%
0%
0%
0%
View this question

Want instant access to all verified answers on vns.lpnu.ua?

Get Unlimited Answers To Exam Questions - Install Crowdly Extension Now!

Browser

Add to Chrome