logo

Crowdly

Browser

Add to Chrome

Електронні системи управління типовим літаком [03965]

Looking for Електронні системи управління типовим літаком [03965] test answers and solutions? Browse our comprehensive collection of verified answers for Електронні системи управління типовим літаком [03965] at vns.lpnu.ua.

Get instant access to accurate answers and detailed explanations for your course questions. Our community-driven platform helps students succeed!

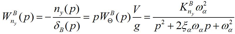
Вираз   є:
0%
0%
0%
0%
0%
View this question

У системі рівнянь просторового руху літака ці рівняння:
0%
0%
0%
0%
0%
View this question
До складу якої системи входить пульт управлення режимами MCP:
0%
0%
0%
View this question
В цифровій системі управління польотом (DFCS) в режимі горизонтальної навігації (L NAV) FMC автопілот:
0%
0%
0%
View this question
Залежно від стабілізуючого параметра розрізняють:
0%
0%
0%
View this question
До рухомих систем координат не відноситься:
0%
0%
0%
View this question
кут між нормальною віссю літака OY та вертикальною площиною, що проходить через повздовжню вісь літака OX (рис. 1.30), тобто кут між віссю OY зв’язаної СК и віссю ОYg земної СК:
0%
0%
0%
0%
View this question
Кут між проекцією траєкторії (віссю OXg у земній СК) та проекцією повздовжньої осі літака ОХ на горизонтальну площину:
0%
0%
0%
0%
View this question
Якому терміну підходить визначення – відхиляючі поверхні, встановлені на передній кромці крила:
0%
0%
0%
View this question
Якому терміну підходить визначення – поверхні, які симетрично розташовані на задній крайці крила в прибраному стані є продовженням поверхні крила:
0%
0%
0%
View this question

Want instant access to all verified answers on vns.lpnu.ua?

Get Unlimited Answers To Exam Questions - Install Crowdly Extension Now!

Browser

Add to Chrome