logo

Crowdly

Browser

Add to Chrome

Теорія автоматичного керування [02561]

Looking for Теорія автоматичного керування [02561] test answers and solutions? Browse our comprehensive collection of verified answers for Теорія автоматичного керування [02561] at vns.lpnu.ua.

Get instant access to accurate answers and detailed explanations for your course questions. Our community-driven platform helps students succeed!

Логарифмічна амплітудно-частотна характеристика якої ланки показана на рисунку?

View this question
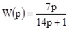
Перетворення Лапласа від перехідної функції елемента має вигляд . Яка функція передачі елемента?
View this question
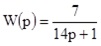
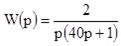
Перетворення Лапласа від перехідної функції об’єкта має вигляд . Яка функція передачі елемента ?
View this question
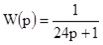
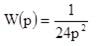
Перетворення Лапласа від перехідної функції  елемента має вигляд . Якою буде функція передачі елемента?
0%
0%
0%
0%
View this question
Перехідна функція елемента має вигляд . Яка функція передачі елемента?
View this question
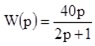
Перетворення Лапласа від перехідної функції об’єкта  має вигляд. Яка функція передачі елемента?
View this question

Функція передачі W(p) системи, структурна схема якої показана на рисунку, визначається за формулою:

0%
0%
0%
0%
View this question

Функція передачі W(p) САР, структурна схема якої показана на рисунку, визначається за формулою:

0%
0%
0%
0%
View this question

Функція передачі W(p) системи, структурна схема якої показана на рисунку, визначається за формулою:

View this question
Знайдіть правильний вираз для знаходження фазо-частотної характеристики з’єднання, показаного на рисунку (φ – ФЧХ елемента):

View this question

Want instant access to all verified answers on vns.lpnu.ua?

Get Unlimited Answers To Exam Questions - Install Crowdly Extension Now!

Browser

Add to Chrome