logo

Crowdly

Browser

Add to Chrome

Теорія автоматичного керування [02561]

Looking for Теорія автоматичного керування [02561] test answers and solutions? Browse our comprehensive collection of verified answers for Теорія автоматичного керування [02561] at vns.lpnu.ua.

Get instant access to accurate answers and detailed explanations for your course questions. Our community-driven platform helps students succeed!

Яка статична характеристика відповідає об’єкту регулювання, показаному на рисунку?

0%
0%
100%
0%
0%
View this question
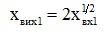
Статична модель першого з двох паралельно з’єднаних елементів описується рівнянням . Якою має бути модель другого елемента, щоб статична модель цілого з’єднання описувалась рівнянням?
0%
100%
0%
0%
0%
View this question

Графік якого детермінованого сигналу зображено на рисунку?

0%
100%
0%
0%
0%
View this question

Як називається система автоматичного регулювання (в залежності від принципу регулювання), схема якої наведена на рисунку?

View this question

Як називається система автоматичного регулювання (в залежності від принципу регулювання), яка наведена на рисунку?

0%
0%
0%
0%
View this question
За якою формулою визначається А(ω) системи з вихідним сигналом x(t), якщо на вхід системи діє випадковий процес хзад(t) ?

0%
0%
0%
0%
View this question
За якою формулою визначається дисперсія похибки регулювання Δx(t) системи регулювання, якщо на вхід системи діє випадковий процес z(t), a хзад(t)=0 ?

0%
0%
0%
0%
View this question
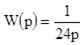
Знайдіть функцію передачі W(p) елемента, на вхід якого діє одиничний стрибкоподібний сигнал, а перетворення Лапласа від вихідного сигналу має вигляд

0%
0%
0%
0%
View this question
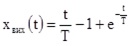
Перехідна функція елемента має вигляд . Яка функція передачі елемента?
0%
0%
0%
0%
100%
View this question
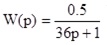
Перетворення Лапласа від перехідної функції об’єкта має вигляд . Яка функція передачі об’єкта ?
0%
0%
100%
0%
0%
View this question

Want instant access to all verified answers on vns.lpnu.ua?

Get Unlimited Answers To Exam Questions - Install Crowdly Extension Now!

Browser

Add to Chrome