logo

Crowdly

Browser

Add to Chrome

Теорія автоматичного керування [02561]

Looking for Теорія автоматичного керування [02561] test answers and solutions? Browse our comprehensive collection of verified answers for Теорія автоматичного керування [02561] at vns.lpnu.ua.

Get instant access to accurate answers and detailed explanations for your course questions. Our community-driven platform helps students succeed!

За діаграмою Боде стійкої розімкнутої лінійної системи автоматичного

регулювання (САР), показаною на рисунку, встановити

стійкість

замкнутої

САР.

View this question
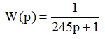
САР з I-регулятором  і з функцією передачі  об’єкта регулювання є … (виберіть правильний варіант відповіді):
View this question
САР з I-регулятором  і з функцією передачі  об’єкта регулювання є… (виберіть правильний варіант відповіді):
View this question
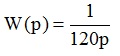
САР з П-регулятором   і з функцією передачі  об’єкта регулювання є… (виберіть правильний варіант відповіді):
View this question
САР з I-регулятором  і з функцією передачі  об’єкта регулювання є … (виберіть правильний варіант відповіді):
View this question

Графік якого перехідного процесу регулювання зображено на рисунку?

View this question
Динамічна система з характеристичним рівнянням  є:
View this question
Яка програма в середовищі Matlab призначена для побудови графіка перехідної функції замкнутої САР при зміні заданого значення? Функція передачі об’єкта регулювання  ,  регулятора WАР(p)=4
0%
0%
0%
0%
View this question
Як в середовищі Matlab записати модель у вигляді функції передачі ?
0%
0%
0%
0%
View this question
Як в середовищі Matlab записати модель у вигляді функції передачі ?
View this question

Want instant access to all verified answers on vns.lpnu.ua?

Get Unlimited Answers To Exam Questions - Install Crowdly Extension Now!

Browser

Add to Chrome