logo

Crowdly

Browser

Add to Chrome

Теорія автоматичного керування [02561]

Looking for Теорія автоматичного керування [02561] test answers and solutions? Browse our comprehensive collection of verified answers for Теорія автоматичного керування [02561] at vns.lpnu.ua.

Get instant access to accurate answers and detailed explanations for your course questions. Our community-driven platform helps students succeed!

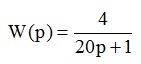
САР з I-регулятором  і з функцією передачі  об’єкта регулювання є … (виберіть правильний варіант відповіді):
View this question
Перехідна функція системи з функцією передачі   є … (виберіть правильний варіант відповіді):
0%
0%
0%
0%
View this question
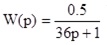
САР з I-регулятором  і з функцією передачі об’єкта регулювання   є … (виберіть правильний варіант відповіді):
0%
0%
0%
0%
View this question

З яким регулятором система регулювання, зображена на функціональній схемі буде нестійкою?

View this question

Графік якого перехідного процесу регулювання зображено на рисунку?

View this question

Якій САР відповідає перехідний процес регулювання, зображений на рисунку?

View this question
Логарифмічна амплітудно-частотна характеристика якої ланки показана на рисунку?\

0%
0%
0%
0%
View this question
Логарифмічна амплітудно-частотна характеристика якої ланки показана на рисунку?

View this question
Перехідна функція елемента має вигляд . Яка функція передачі елемента?
View this question
Знайдіть функцію передачі W(p) елемента, на вхід якого діє одиничний стрибкоподібний сигнал, а перетворення Лапласа від вихідного сигналу має вигляд

View this question

Want instant access to all verified answers on vns.lpnu.ua?

Get Unlimited Answers To Exam Questions - Install Crowdly Extension Now!

Browser

Add to Chrome