logo

Crowdly

Browser

Add to Chrome

Теорія автоматичного керування [02561]

Looking for Теорія автоматичного керування [02561] test answers and solutions? Browse our comprehensive collection of verified answers for Теорія автоматичного керування [02561] at vns.lpnu.ua.

Get instant access to accurate answers and detailed explanations for your course questions. Our community-driven platform helps students succeed!

Структурна схема якого регулятора показана на рисунку (прийняти е-рτ ≈1-рτ)?

0%
0%
100%
0%
0%
View this question
Методом розширених частотних характеристик (m=0,5) розрахувати параметр настроювання П-регулятора, якщо функція передачі об’єкта регулювання W(p)=(10p+1)-4/81, (Розширена АЧХ аперіодичної ланки першого порядку визначається за формулою, розширена ФЧХ  )
0%
0%
100%
0%
0%
View this question
Методом розширених частотних характеристик (m=0,5) розрахувати параметр настроювання П-регулятора, якщо функція передачі об’єкта регулювання W(p)=(5p+1)-4/49 (Розширена АЧХ аперіодичної ланки першого порядку визначається за формулою, розширена ФЧХ )
0%
0%
100%
0%
0%
View this question
Як зміниться якість САР із статичним ОР, якщо параметри ПІ-регулятора зміняться вздовж границі області запасу стійкості від вказаної точки до екстремальної точки на рисунку?

0%
0%
0%
0%
0%
View this question
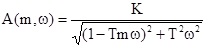
Розширена амплітудно-частотна характеристика A(m,ω) ланки запізнення дорівнює … (τ - час запізнення)
View this question
Як зміниться якість САР із статичним ОР, якщо параметри ПІ-регулятора зміняться вздовж границі області запасу стійкості від екстремальної точки до вказаної точки на рисунку?

0%
0%
0%
0%
0%
View this question
За допомогою якої заміни оператора Лапласа у функції передачі елемента знаходять його розширені частотні характеристики?
View this question
Яка програма в середовищі Matlab призначена для побудови графіка перехідної функції замкнутої САР при зміні заданого значення? Функція передачі об’єкта регулювання  ,  регулятора WАР(p)=4
0%
0%
0%
100%
0%
View this question
Яка програма в середовищі Matlab призначена для побудови імпульсної перехідної функції замкнутої САР при зміні заданого значення? Функція передачі об’єкта регулювання ,  регулятора WАР(p)=2.
0%
0%
0%
0%
100%
View this question
САР з П-регулятором   і з функцією передачі  об’єкта регулювання є… (виберіть правильний варіант відповіді):
View this question

Want instant access to all verified answers on vns.lpnu.ua?

Get Unlimited Answers To Exam Questions - Install Crowdly Extension Now!

Browser

Add to Chrome