logo

Crowdly

Browser

Add to Chrome

Теорія автоматичного керування [02561]

Looking for Теорія автоматичного керування [02561] test answers and solutions? Browse our comprehensive collection of verified answers for Теорія автоматичного керування [02561] at vns.lpnu.ua.

Get instant access to accurate answers and detailed explanations for your course questions. Our community-driven platform helps students succeed!

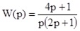
САР з I-регулятором  і з функцією передачі  об’єкта регулювання є… (виберіть правильний варіант відповіді):
0%
0%
0%
0%
0%
View this question
Динамічна система з характеристичним рівнянням  є:
0%
0%
0%
0%
0%
View this question
Логарифмічна амплітудно-частотна характеристика якої ланки показана на рисунку?\

0%
0%
0%
0%
0%
View this question
Логарифмічна амплітудно-частотна характеристика якої ланки показана на рисунку?

0%
0%
0%
0%
0%
View this question
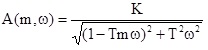
Методом розширених частотних характеристик (m=0,75) розрахувати (з точністю до одиниці) параметр настроювання П-регулятора, якщо функція передачі об’єкта регулювання W(p)=0,01/(20p+1)4, (Розширена АЧХ аперіодичної ланки першого порядку визначається за формулою , розширена ФЧХ  )
0%
0%
0%
0%
0%
View this question
Як зміниться якість САР, якщо параметри ПІ-регулятора зміняться вздовж границі області запасу стійкості від вказаної точки вправо?

0%
0%
0%
0%
0%
View this question
Як зміниться якість САР, якщо параметри ПІ-регулятора зміняться вздовж границі області запасу стійкості від вказаної точки вліво?

0%
0%
0%
0%
0%
View this question
Як зміниться якість САР із статичним ОР, якщо параметри ПІ-регулятора зміняться вздовж границі області запасу стійкості від вказаної точки до екстремальної точки на рисунку?

0%
0%
0%
0%
0%
View this question
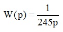
Яка програма в середовищі Matlab призначена для побудови імпульсної перехідної функції замкнутої САР при зміні заданого значення? Функція передачі об’єкта регулювання ,  регулятора WАР(p)=2.
100%
0%
0%
0%
0%
View this question
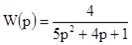
Як в середовищі Matlab записати модель у вигляді функції передачі ?
0%
0%
0%
100%
0%
View this question

Want instant access to all verified answers on vns.lpnu.ua?

Get Unlimited Answers To Exam Questions - Install Crowdly Extension Now!

Browser

Add to Chrome