logo

Crowdly

Browser

Add to Chrome

Теорія автоматичного керування [02561]

Looking for Теорія автоматичного керування [02561] test answers and solutions? Browse our comprehensive collection of verified answers for Теорія автоматичного керування [02561] at vns.lpnu.ua.

Get instant access to accurate answers and detailed explanations for your course questions. Our community-driven platform helps students succeed!

Знайдіть функцію передачі промислового регулятора, структурна схема якого показана на рисунку, за умови, що k1>>1 

0%
0%
0%
0%
View this question
Відношення зміни вихідної величини елемента (системи) до зміни вхідної величини в усталеному режимі називають (дайте правильну відповідь)
View this question
Логарифмічна амплітудно-частотна характеристика якої ланки показана на рисунку?\

View this question
Логарифмічна амплітудно-частотна характеристика якої ланки показана на рисунку?

0%
0%
0%
0%
View this question
Логарифмічна амплітудно-частотна характеристика якої ланки показана на рисунку?

0%
0%
0%
0%
View this question
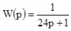
Перетворення Лапласа від перехідної функції об’єкта має вигляд . Яка функція передачі елемента?
0%
0%
0%
0%
0%
View this question
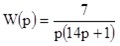
Перетворення Лапласа від перехідної функції  елемента має вигляд . Якою буде функція передачі елемента?
0%
0%
0%
0%
0%
View this question
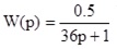
Перетворення Лапласа від перехідної функції об’єкта має вигляд . Яка функція передачі об’єкта ?
0%
0%
0%
0%
0%
View this question
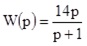
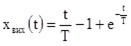
Перехідна функція елемента має вигляд . Яка функція передачі елемента?
0%
0%
0%
0%
0%
View this question
Знайдіть функцію передачі W(p) елемента, на вхід якого діє одиничний стрибкоподібний сигнал, а перетворення Лапласа від вихідного сигналу має вигляд

0%
0%
0%
0%
0%
View this question

Want instant access to all verified answers on vns.lpnu.ua?

Get Unlimited Answers To Exam Questions - Install Crowdly Extension Now!

Browser

Add to Chrome