logo

Crowdly

Browser

Add to Chrome

Теорія автоматичного керування [02561]

Looking for Теорія автоматичного керування [02561] test answers and solutions? Browse our comprehensive collection of verified answers for Теорія автоматичного керування [02561] at vns.lpnu.ua.

Get instant access to accurate answers and detailed explanations for your course questions. Our community-driven platform helps students succeed!

САР з I-регулятором  і з функцією передачі  об’єкта регулювання є … (виберіть правильний варіант відповіді):
View this question

Який годограф Михайлова відповідає стійкій динамічній системі? (n – порядок характеристичного рівняння)

View this question
САР з П-регулятором і з функцією передачі об’єкта регулювання   є… (виберіть правильний варіант відповіді):
View this question

Якою буде лінійна замкнута САР, якщо характеристичне рівняння

розімкнутої САР має один додатний корінь і амплітудно-фазова

характеристика розімкнутої САР має вигляд, показаний на рисунку?

0%
0%
0%
0%
View this question
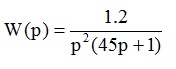
САР з I-регулятором  і з функцією передачі об’єкта регулювання   є … (виберіть правильний варіант відповіді):
0%
0%
0%
0%
View this question
Яким рівнянням описують складову розв’язку диференціального рівняння за наявності уявного кореня (іω) характеристичного рівняння?
0%
9%
0%
0%
View this question
Яке розміщення коренів характеристичного рівняння в комплексній площині відповідає системі автоматичного регулювання, що знаходиться на межі стійкості?
View this question

Якій САР відповідає перехідний процес регулювання, зображений на рисунку?

View this question
Яке розміщення коренів характеристичного рівняння в комплексній площині відповідає стійкій системі автоматичного регулювання?
View this question
Яким рівнянням описують складову розв’язку диференціального рівняння за наявності дійсного кореня λ характеристичного рівняння?
View this question

Want instant access to all verified answers on vns.lpnu.ua?

Get Unlimited Answers To Exam Questions - Install Crowdly Extension Now!

Browser

Add to Chrome