logo

Crowdly

Browser

Add to Chrome

Теорія автоматичного керування [02561]

Looking for Теорія автоматичного керування [02561] test answers and solutions? Browse our comprehensive collection of verified answers for Теорія автоматичного керування [02561] at vns.lpnu.ua.

Get instant access to accurate answers and detailed explanations for your course questions. Our community-driven platform helps students succeed!

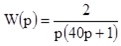
Перетворення Лапласа від перехідної функції об’єкта має вигляд . Яка функція передачі об’єкта ?
View this question
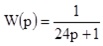
Перетворення Лапласа від перехідної функції об’єкта має вигляд . Яка функція передачі елемента?
View this question
Перетворення Лапласа від перехідної функції елемента має вигляд . Яка функція передачі елемента?
0%
0%
0%
0%
View this question
Функція передачі об’єкта має вигляд  . Яким рівнянням описується імпульсна перехідна функція C(t) об’єкта?
View this question
Перетворення Лапласа від перехідної функції об’єкта  має вигляд. Яка функція передачі елемента?
View this question
Функція передачі елемента має вигляд W(p) =1. Яким рівнянням описується імпульсна перехідна функція C(t) елемента?
View this question
Який зв’язок існує між імпульсною перехідною функцією C(t) лінійного ТО і його функцією передачі W(p)? (L – позначення прямого перетворення Лапласа, L-1 - зворотного)?
View this question
Яким рівнянням описується зв’язок між функцією передачі W(p) технологічного об’єкта з його імпульсною перехідною функцією C(t) ?
View this question

Функція передачі W(p) каскадної САР, структурна схема якої показана на рисунку, визначається за формулою:

0%
0%
0%
0%
0%
View this question

Функція передачі W(p) системи, структурна схема якої показана на рисунку, визначається за формулою:

View this question

Want instant access to all verified answers on vns.lpnu.ua?

Get Unlimited Answers To Exam Questions - Install Crowdly Extension Now!

Browser

Add to Chrome