logo

Crowdly

Browser

Add to Chrome

Моделювання хіміко-технологічних процесів

Looking for Моделювання хіміко-технологічних процесів test answers and solutions? Browse our comprehensive collection of verified answers for Моделювання хіміко-технологічних процесів at vns.lpnu.ua.

Get instant access to accurate answers and detailed explanations for your course questions. Our community-driven platform helps students succeed!

Функція для імпульсного збурення на вході у ректор ідеального перемішування :

0%
0%
0%
0%
0%
View this question

Формула поверхні теплообміну має вигляд:

0%
0%
0%
0%
0%
0%
View this question
Тепловий потік направлений:
0%
0%
0%
0%
0%
View this question

Співвідношення між двома функціями оригіналом - і зображенням - виражають залежністю: 

0%
0%
0%
0%
0%
View this question
Розрізняють три способи перенесення теплоти:
0%
0%
0%
0%
0%
View this question

Рівняння моделі ідеального перемішування:

0%
0%
0%
0%
0%
View this question
Проскок – це:
0%
0%
0%
0%
0%
View this question
При розрахунках теплообмінних апаратів зазвичай задають:
0%
0%
0%
0%
0%
View this question
При математичному моделюванні процесів в апаратах з тарілками для характеристики процесу в рідкій фазі використовують:
0%
0%
0%
0%
0%
View this question

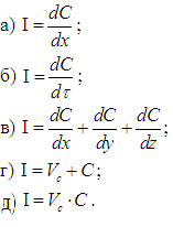
Потік субстанції розраховують на основі залежності:

0%
0%
0%
0%
0%
View this question

Want instant access to all verified answers on vns.lpnu.ua?

Get Unlimited Answers To Exam Questions - Install Crowdly Extension Now!

Browser

Add to Chrome