logo

Crowdly

Browser

Add to Chrome

Моделювання хіміко-технологічних процесів

Looking for Моделювання хіміко-технологічних процесів test answers and solutions? Browse our comprehensive collection of verified answers for Моделювання хіміко-технологічних процесів at vns.lpnu.ua.

Get instant access to accurate answers and detailed explanations for your course questions. Our community-driven platform helps students succeed!

Під математичним описом розуміємо запис закономірностей протікання процесу в об'єкті у вигляді порівнянь, краєвих та початкових умов й логічних зв'язків:
0%
0%
View this question
Передавальну функцію для реактора ідеального витіснення можна представити у вигляді.
0%
0%
View this question
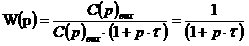
Передавальна функція представляється залежністю.
0%
0%
View this question
Особливістю моделі реактора ідеального змішування (РІЗ) є те, що концентрація і температура не однакові по всьому об`єму:
0%
0%
View this question
Основний показник, за яким процеси відносять до того чи іншого типу, є ідентичність їх фізикохімічних особливостей, тобто матеріальних і енергетичних внутрішніх зв'язків.
0%
0%
View this question
Однопараметрична дифузійна модель реактора описується диференційним рівнянням виду.
0%
0%
View this question
Однопараметрична дифузійна модель реактора враховує радіальне перемішування в поперечному перерізі реактора.
0%
0%
View this question
Об’ємна швидкість потоку і коефіцієнт зворотнього перемішування в однопараметричній дифузійній моделі є незмінними по довжині потоку.
0%
0%
View this question
Молекулярність характеризує число молекул, що бере участь в реакції згідно з стехіометричномим рівнянням, виражається цілими числами:
0%
0%
View this question
Модель ідеального перемішування передбачає, що концентрація субстанції в апараті дорівнює концентрації на виході з апарату
0%
0%
View this question

Want instant access to all verified answers on vns.lpnu.ua?

Get Unlimited Answers To Exam Questions - Install Crowdly Extension Now!

Browser

Add to Chrome