logo

Crowdly

Browser

Add to Chrome

Технології програмування, частина 1 (БІТ)

Looking for Технології програмування, частина 1 (БІТ) test answers and solutions? Browse our comprehensive collection of verified answers for Технології програмування, частина 1 (БІТ) at vns.lpnu.ua.

Get instant access to accurate answers and detailed explanations for your course questions. Our community-driven platform helps students succeed!

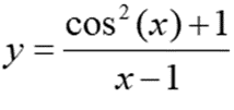
Вибрати

правильний запис для обчислення 

View this question

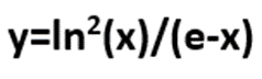
Вибрати

правильний запис для обчислення 

0%
0%
100%
0%
View this question

Вибрати

правильний запис для обчислення 

100%
0%
0%
0%
View this question

Що наведено на рисунку?

View this question

Вибрати

правильний запис для обчислення 

:

0%
0%
0%
100%
View this question

Вибрати

правильний запис для обчислення 

View this question

Вибрати

правильний запис для обчислення 

View this question

Вибрати

правильний запис для обчислення 

View this question

Вибрати

правильний запис для обчислення 

View this question

Вибрати

правильний запис для обчислення 

View this question

Want instant access to all verified answers on vns.lpnu.ua?

Get Unlimited Answers To Exam Questions - Install Crowdly Extension Now!

Browser

Add to Chrome