logo

Crowdly

Browser

Add to Chrome

Технології програмування, частина 1 (БІТ)

Looking for Технології програмування, частина 1 (БІТ) test answers and solutions? Browse our comprehensive collection of verified answers for Технології програмування, частина 1 (БІТ) at vns.lpnu.ua.

Get instant access to accurate answers and detailed explanations for your course questions. Our community-driven platform helps students succeed!

Вибрати

правильний запис для обчислення 

View this question

Вибрати

правильний запис для обчислення 

View this question

Вибрати

правильний запис для обчислення 

0%
0%
0%
0%
View this question

Вибрати

правильний запис для обчислення 

0%
0%
0%
0%
View this question

Що наведено на рисунку?

0%
100%
0%
0%
View this question

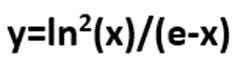
Вибрати

правильний запис для обчислення 

0%
0%
0%
0%
View this question

Що наведено на рисунку?

0%
0%
0%
0%
View this question

Вибрати

правильний запис для обчислення 

0%
0%
0%
0%
View this question

Вибрати

правильний запис для обчислення 

0%
0%
0%
0%
View this question

Вибрати

правильний запис для обчислення 

0%
0%
0%
0%
View this question

Want instant access to all verified answers on vns.lpnu.ua?

Get Unlimited Answers To Exam Questions - Install Crowdly Extension Now!

Browser

Add to Chrome