logo

Crowdly

Browser

Add to Chrome

Цифрова обробка сигналів

Looking for Цифрова обробка сигналів test answers and solutions? Browse our comprehensive collection of verified answers for Цифрова обробка сигналів at vns.lpnu.ua.

Get instant access to accurate answers and detailed explanations for your course questions. Our community-driven platform helps students succeed!

Рівняння рекурсивного цифрового фільтра

0%
0%
0%
0%
View this question

Функція y = rectpuls(t) в Matlab формує:

0%
0%
0%
0%
View this question

Взаємна кореляційна функція двох сигналів s1(t) та s2(t) визначається співвідношенням

100%
0%
0%
0%
View this question

Уявна частина спектральної густини дійсного сигналу

0%
0%
0%
0%
View this question

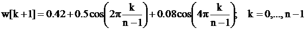
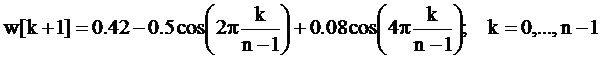
Вікно Блекмена визначається формулою

0%
0%
0%
0%
View this question

Рівняння нерекурсивного цифрового фільтра

0%
0%
0%
0%
View this question

Пояснити термін фільтр з нескінченною імпульсною характеристикою

View this question

Формула Ейлера

View this question

Фільтруюча

властивість дельта-функції описується співвідношенням:

View this question

Кореляційний аналіз це

0%
0%
0%
0%
View this question

Want instant access to all verified answers on vns.lpnu.ua?

Get Unlimited Answers To Exam Questions - Install Crowdly Extension Now!

Browser

Add to Chrome