logo

Crowdly

Browser

Add to Chrome

Bases de Dados-B_L_CDIA, B_EINF_2, L_MAEG

Looking for Bases de Dados-B_L_CDIA, B_EINF_2, L_MAEG test answers and solutions? Browse our comprehensive collection of verified answers for Bases de Dados-B_L_CDIA, B_EINF_2, L_MAEG at www.moodle.uevora.pt.

Get instant access to accurate answers and detailed explanations for your course questions. Our community-driven platform helps students succeed!

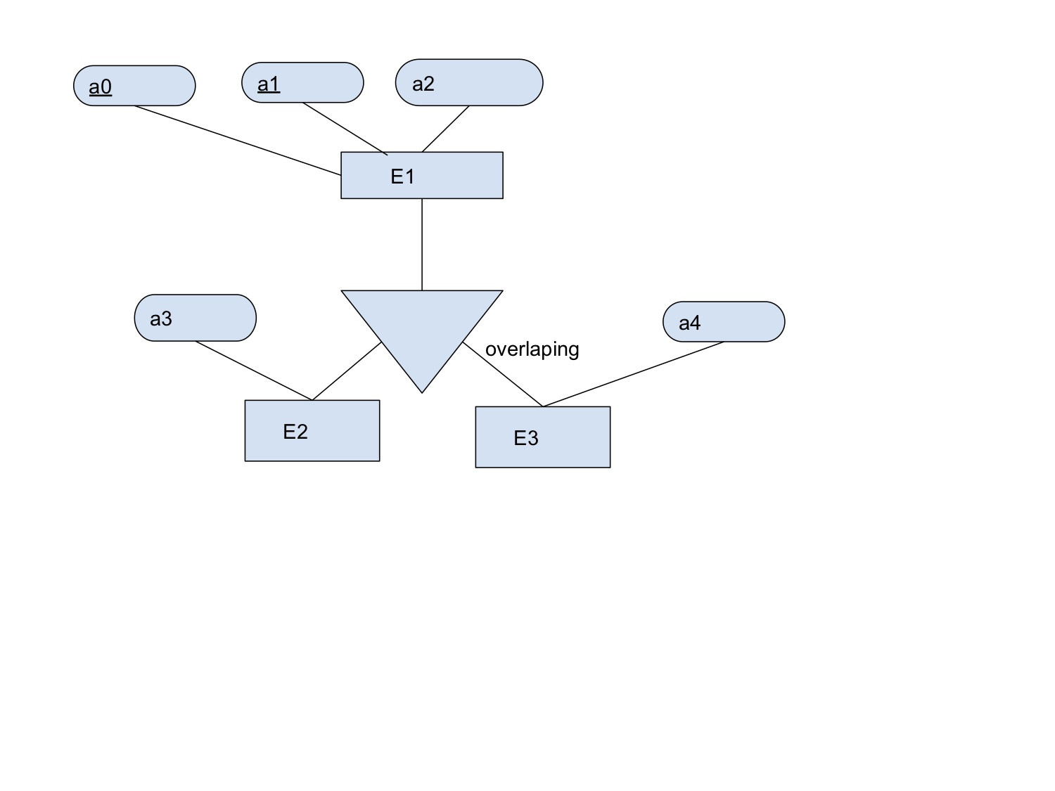
Pergunta: Considere o Diagrama ER  e indique o esquema da relação E3

(escolha os atributos sublinhados se estão na chave primária do esquema da relação E3 e os que não estão na chave primária não devem ser sublinhados)

Atenção:  se escolher algo errado tem um desconto  de  50% por cada escolha

View this question

Considere os diagramas da figura abaixo

e os esquemas:

  • autoria(ISBN,CodA)
  • livro(ISBN,Titulo)
  • autor(CodA,Nome)

Pergunta: A que  diagrama/s E-R correspondem os esquemas das relações acima?

View this question

Considere  a relação:

  • disciplina(Disc, Ano_Curso, Semestre, Horas_p, Horas_t, Creditos, Programa) 

Com a dependência funcional: Disc --> Ano_Curso, Semestre

Qual é a afirmação que é verdade:

 

0%
0%
0%
0%
View this question

Considere o  conjunto de relações:

docente(Doc, Gabinete, Categoria, Email, Telefone) 

lecciona(Doc, Disc, Ano\_lectivo) 

disciplina(Disc, Ano, Semestre, Horas\_p, Horas\_t, Creditos, Programa) 

E o conjunto de dependências funcionais:

Doc --> Email  Categoria

Email --> Gabinete

Gabinete --> Telefone

Doc  Disc --> Ano_lectivo

Disc Ano --> Semestre  Horas_p, Horas_t, Creditos  Programa)

Indique uma super chave da relação docente

0%
0%
0%
0%
View this question

Considere o modelo ER abaixo e indique o esquema das relações que o representam

0%
0%
100%
0%
View this question

Considere a relação:

lecciona(Doc, Disc, Ano_lectivo) 

Considere que um docente só pode leccionar uma disciplina num ano lectivo.

Qual é o conjunto de dependências funcionais que define esta restrição?

0%
0%
0%
0%
View this question

Considere a relação R= (A,B,C,D) e o conjunto de dependências funcionais 

F= { AD -> B,  A ->C }

 

Indique uma chave candidata?

0%
0%
0%
100%
0%
View this question

Considere o seguinte esquema de relação:

autorVenda(CodigoAutor,Nome,Morada,Cidade,Telefone,ISBN,DataVenda)

Se a direcção de uma livraria definir as seguintes dependências funcionais:

CodigoAutor -> Nome, morada, Cidade

Telefone -> Nome

ISBN -> CodigoAutor

ISBN -> DataVenda

Indique as afirmações verdadeiras de acordo com as regras definidas pela direcção da livraria.

 

 

0%
100%
100%
0%
View this question

Na relação:

docente(Doc, Gabinete, Categoria, Email, Telefone)

Com o seguinte conjunto de dependências funcionais:

Gabinete -> Categoria

Doc -> Email

Telefone -> Doc

Telefone, Categoria  é chave candidata?

100%
0%
View this question

Want instant access to all verified answers on www.moodle.uevora.pt?

Get Unlimited Answers To Exam Questions - Install Crowdly Extension Now!

Browser

Add to Chrome