logo

Crowdly

Browser

Add to Chrome

AERODINÀMICA (Curs Total)

Looking for AERODINÀMICA (Curs Total) test answers and solutions? Browse our comprehensive collection of verified answers for AERODINÀMICA (Curs Total) at atenea.upc.edu.

Get instant access to accurate answers and detailed explanations for your course questions. Our community-driven platform helps students succeed!

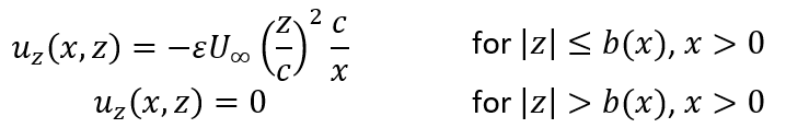
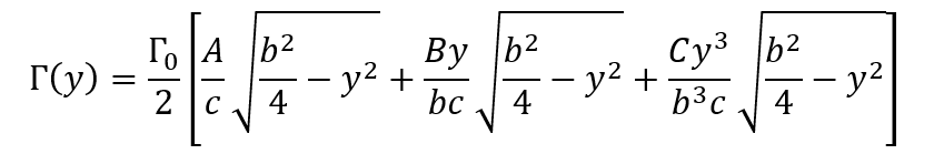
Consider a rectangular wing with span b = 15 m and chord c = 1,77 m, flying horizontally in steady atmosphere with velocity U∞ = 50 m/s, and air density ρ = 1.225 kg/m3. We can assume that Re >> 1, M << 1, and that we know the circulation distribution along the wing Γ(y):

eq

where A = 0,73, B = 2,53, and C = 14,27 are dimensionless constants, and Γo = 17,7 m2/s. You are asked to compute, for this wing, the global lift L in [N]:

Note: For the computed results, provide at least 6 decimals, and use the coma "," as decimal separator.

View this question

The

image shows a vortex line with horseshoe shape. The vortex line has different

intensity per unit length depending on the considered segment/leg of the

horseshoe, where

98 m/s. The vortex line follows the

axis from point A to the origin O; then, it follows the

axis from O

to point B (

), and finally it goes from point B to point E.

Compute the

-axis component of the flow velocity [m/s] in a point located

in the position

-2,0 m and , with

2,7

m, as induced by the vortex line segments AO, OB, and BE, when A and E are

located in the infinite

. Recall that

the positive direction of the

axis is perpendicular to the screen,

pointing out of the screen (that is, toward ourselves)

.

View this question

Say that we have a 3D wing which is entirely built using only a single type of airfoil. The aspect ratio of the wing is AR=10,8. As per the relationship between the vs polar curve of the 3D wing and the vs polar curves of the 2D airfoils it is made of, what is the value of in [º] at which 0,81 for the 3D wing, if the value of at which 0,81 for the 2D airfoils is 4,3º?

View this question

Consider a rectangular wing with span b = 31,3 m and chord c = 1,49 m, flying horizontally in steady atmosphere with velocity U∞ = 73 m/s, and air density ρ = 1.225 kg/m3. We can assume that Re >> 1, M << 1, and that we know the circulation distribution along the wing Γ(y):

eq

where A = 0,63, B = 3,75, and C = 16,6 are dimensionless constants, and Γo = 29,3 m2/s. You are asked to compute, for this wing, the global induced drag Di in [N]:

Note: For the computed results, provide at least 6 decimals, and use the coma "," as decimal separator.

View this question

sow_2abis

View this question

Say we have a doublet with intensity 16 [m3/s], a source with intensity 38 [m2/s], and a vortex with intensity -17 [m2/s], all three located in the origin of the wind reference frame. You are asked to compute the axis component of the flow velocity in units [m/s], in the position 17,3 m and 9,6 m.

Note: Please, provide at least 4 decimals and use the comma "," as decimal separator.

View this question

The perturbation velocity component in the -axis, in [m/s], in x = -0.5 m, for a thickness problem with

= 150 m/s and  = ± (0.01 – 0.01x2), and leading and trailing edges located in x = -1 m and x = 1 m, is ...

0%
0%
0%
0%
0%
View this question

sow_2bbis

View this question

Say we have an airfoil with leading edge (LE) and trailing edge (TE) located at 0 and 1.84 m, respectively. The pressure coefficient distribution in the upper surface of the airfoil is trapezoidal, with -0.32 constant for all values of between and 63% of the chord, and then ranging linearly from -0.32 at 63% of the chord to 0 at . On the other hand, the pressure coefficient distribution in the lower surface fits well a cosenoidal function with period equal to 0.57 times the chord, and amplitude 0.67, crossing the positive part of the ordinate axis in the leading edge with null slope. Please, compute the value of the airfoil’s global lift coefficient (with 3 decimals; and please, use the comma "," as decimal separator).

View this question

Consider

a 2D airfoil of chord

0.5 m, flying in open atmosphere with

velocity

= 87 m/s, as shown in the image

below.

The pressure far downwind becomes uniform and

equal in value to the pressure far upwind, 

which is the pressure of the steady atmosphere, also uniform and known: =101325 Pa.

The measured component of 

the

flow velocity is

far downwind, and

in the top

boundary of the control volume, at

, and

 in

the bottom boundary of the control volume, at

. These

components are:

where

, , and are known constants, with

0.1,

2.51 m, and 8.19 m, and (1/4). For the control volume of length

and height

, symmetric respect to the axis and

axis (see image

below), you are asked to compute 

the lift on the obstacle .

For

this purpose, you can assume that the

,

,

, ,

, and

. The air density far upwind is known:  = 1.097 kg/m3.

Bear

in mind that the velocity cannot be assumed to be horizontal far

upwind and far downwind, while

it is horizontal in the top and bottom boundaries of the

control volume at

and , respectively. The velocity has the following unknown

axis velocity component

far

upwind:

and the following unknown axis velocity far downwind:

Finally, a

ssume

an unknown velocity in the form

for

all the points of the fluid domain where the velocity is unknown, with

being unknowns and .

Note: The results are in SI units with 2 decimals and the comma "," is used as decimal separator

View this question

Want instant access to all verified answers on atenea.upc.edu?

Get Unlimited Answers To Exam Questions - Install Crowdly Extension Now!

Browser

Add to Chrome