logo

Crowdly

Browser

Add to Chrome

AERODINÀMICA (Curs Total)

Looking for AERODINÀMICA (Curs Total) test answers and solutions? Browse our comprehensive collection of verified answers for AERODINÀMICA (Curs Total) at atenea.upc.edu.

Get instant access to accurate answers and detailed explanations for your course questions. Our community-driven platform helps students succeed!

Say we have an airfoil with leading edge (LE) and trailing edge (TE)

located at

0 and

1.37 m, respectively. The

pressure coefficient distribution in the upper surface of the airfoil is

trapezoidal, with

-0.4 from the LE until the midpoint of the chord, and then varying linearly until

in the TE, and the

pressure coefficient distribution in the lower surface fits well a sinusoidal function with period equal to 2.12 times the chord, and

amplitude 0.29, crossing the ordinate axis in the LE with the maximum possible positive slope. Please, compute the position of the pressure center of the

airfoil in % of the chord (with 5 decimals at least; you do not need to

put the "%" sign in the box for introducing the result, it only accepts a

numerical value; and please, use the comma "," as decimal separator).

View this question

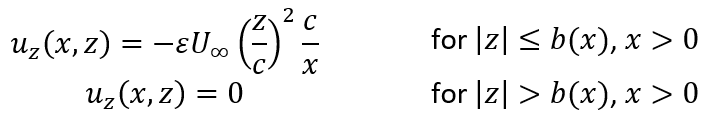
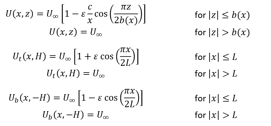
Consider

a 2D airfoil of chord

0.5 m, flying in open atmosphere with

velocity

= 87 m/s, as shown in the image

below.

The pressure far downwind becomes uniform and

equal in value to the pressure far upwind, 

which is the pressure of the steady atmosphere, also uniform and known: =101325 Pa.

The measured component of 

the

flow velocity is

far downwind, and

in the top

boundary of the control volume, at

, and

 in

the bottom boundary of the control volume, at

. These

components are:

where

, , and are known constants, with

0.1,

2,51 m, and 8,19 m, and (1/4). For the control volume of length

and height

, symmetric respect to the axis and

axis (see image

below), you are asked to compute 

the lift on the obstacle .

For

this purpose, you can assume that the

,

,

, ,

, and

. The air density far upwind is known:  = 1,097 kg/m3.

Bear

in mind that the velocity cannot be assumed to be horizontal far

upwind and far downwind, while

it is horizontal in the top and bottom boundaries of the

control volume at

and , respectively. The velocity has the following unknown

axis velocity component

far

upwind:

and the following unknown axis velocity far downwind:

Finally, a

ssume

an unknown velocity in the form

for

all the points of the fluid domain where the velocity is unknown, with

being unknowns and .

Note: The results are in SI units with 2 decimals and the comma "," is used as decimal separator

View this question

Say we have an airfoil with leading edge (LE) and trailing edge (TE) located at 0 and 1,84 m, respectively. The pressure coefficient distribution in the upper surface of the airfoil is trapezoidal, with -0,32 constant for all values of between and 63% of the chord, and then ranging linearly from -0,32 at 63% of the chord to 0 at . On the other hand, the pressure coefficient distribution in the lower surface fits well a cosenoidal function with period equal to 0,57 times the chord, and amplitude 0,67, crossing the positive part of the ordinate axis in the leading edge with null slope. Please, compute the value of the airfoil’s global lift coefficient (with 3 decimals; and please, use the comma "," as decimal separator).

View this question

Want instant access to all verified answers on atenea.upc.edu?

Get Unlimited Answers To Exam Questions - Install Crowdly Extension Now!

Browser

Add to Chrome