logo

Crowdly

Browser

Add to Chrome

AERODINÀMICA (Curs Total)

Looking for AERODINÀMICA (Curs Total) test answers and solutions? Browse our comprehensive collection of verified answers for AERODINÀMICA (Curs Total) at atenea.upc.edu.

Get instant access to accurate answers and detailed explanations for your course questions. Our community-driven platform helps students succeed!

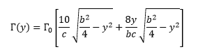
The

image shows a vortex line with horseshoe shape. The vortex line has different

intensity per unit length depending on the considered segment/leg of the

horseshoe, where

92 m/s. The vortex line follows the

axis from point A to the origin O; then, it follows the

axis from O

to point B (

), where 5,1

m, and finally it goes from point B to point E.

Compute the

-axis component of the flow velocity [m/s] in a point located

in the position

-3,6 m and 5,1

, as induced by the vortex line segments AO, OB, and BE, when A and E are

located in the infinite

. Recall that

the positive direction of the

axis is perpendicular to the screen,

pointing out of the screen (that is, toward ourselves)

.

View this question

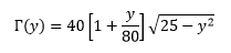
Consider

a rectangular wing with

chord  m and wing span  m,

flying

horizontally in steady atmosphere with velocity

m/s (). The air density is 1 kg/m3 and the circulation distribution along the wing span is:

exercise 2.7v1q3v0_circulation

Compute the wing lift in Newtons (provide at least 2 decimals, and use the coma "," as decimal separator).

View this question

Say that we have a 3D wing which is entirely built using only a single type of airfoil. The aspect ratio of the wing is AR=16,6. As per the relationship between the vs polar curve of the 3D wing and the vs polar curves of the 2D airfoils it is made of, what is the value of in [º] at which 0,51 for the 3D wing, if the value of at which 0,51 for the 2D airfoils is 2,1º?

View this question

Consider

a rectangular wing with

chord  m and wing span  m,

flying

horizontally in steady atmosphere with velocity

m/s (). The air density is 1 kg/m3 and the circulation distribution along the wing span is:

exercise 2.7v4q3v0_circulation

with  m2/s. Compute the induced drag coefficient for this wing (provide at least 4 decimals, and use the coma "," as decimal separator).

View this question

In Prandtl’s wing

theory:

0%
0%
0%
0%
0%
View this question

Which statement is true about D'Alembert's paradox within the frame of

lifting-line theory?

0%
0%
0%
0%
0%
View this question

For a laminar boundary

layer (BL) at an angle of attack (AOA) well below the stall AOA:

0%
0%
0%
0%
0%
View this question

Say we have a doublet with intensity 5 [m3/s], a source with intensity -27 [m2/s], and a vortex with intensity 39 [m2/s], all three located in the origin of the wind reference frame. You are asked to compute the axis component of the flow velocity in units [m/s], in the position 4,4 m and 18,3 m.

Note: Please, provide at least 4 decimals and use the comma "," as decimal separator.

View this question

For a problem with

= 100 m/s and  = ± (0.02 – 0.02x2) is, the perturbation velocity component in the -axis as we move along the airfoil skeleton is ...

0%
0%
100%
0%
0%
0%
View this question

The lift coefficient for an angle of attack 8,7º.

View this question

Want instant access to all verified answers on atenea.upc.edu?

Get Unlimited Answers To Exam Questions - Install Crowdly Extension Now!

Browser

Add to Chrome