logo

Crowdly

Browser

Add to Chrome

Вища математика

Looking for Вища математика test answers and solutions? Browse our comprehensive collection of verified answers for Вища математика at bfc.org.ua.

Get instant access to accurate answers and detailed explanations for your course questions. Our community-driven platform helps students succeed!

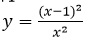
Знайти матрицю kA , якщо: 

0%
100%
0%
0%
View this question

Сумою матриць  А і B  є матриця виду:

0%
0%
0%
100%
View this question

Добутком матриць А і В  є матриця виду:

0%
0%
100%
0%
View this question

Сумою двох матриць А і В називається матриця виду?

0%
0%
100%
0%
View this question

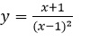
Знайти матрицю A*A, якщо 

0%
0%
100%
0%
View this question

Для визначника 3-го порядку  - розклад за елементами:

100%
0%
0%
0%
View this question

Обчислити визначник : 

0%
0%
100%
0%
View this question

Для визначника 3-го порядку  вказати алгебраїчне доповнення А 32:

100%
0%
0%
0%
View this question

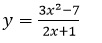
Обчислити визначник 3-го порядку 

0%
0%
100%
0%
View this question

Який з визначників дорівнює добутку чисел головної діагоналі?

100%
0%
0%
0%
View this question

Want instant access to all verified answers on bfc.org.ua?

Get Unlimited Answers To Exam Questions - Install Crowdly Extension Now!

Browser

Add to Chrome