logo

Crowdly

Browser

Add to Chrome

Вища математика

Looking for Вища математика test answers and solutions? Browse our comprehensive collection of verified answers for Вища математика at bfc.org.ua.

Get instant access to accurate answers and detailed explanations for your course questions. Our community-driven platform helps students succeed!

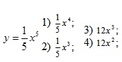
Знайти похідну функції 

0%
0%
0%
0%
View this question

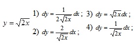
Знайти диференціал функції 

0%
0%
0%
0%
View this question

Знайти похідну третього порядку для функції 

0%
0%
0%
0%
View this question

Знайти f'(-1) , якщо :

0%
0%
0%
0%
View this question

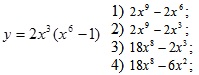
Знайти похідну функції 

0%
0%
0%
0%
View this question

Рівняння кривої записати у канонічному вигляді. Вказати вид кривої. Знайти координати фокусів, вершин, центра. Записати рівняння асимптот (якщо є). Побудувати криву в системі координат

View this question

Рівняння кривої записати у канонічному вигляді. Вказати вид кривої. Знайти координати фокусів, вершин, центра. Записати рівняння асимптот (якщо є). Побудувати криву в системі координат

View this question

Рівняння кривої записати у канонічному вигляді. Вказати вид кривої. Знайти координати фокусів, вершин, центра. Записати рівняння асимптот (якщо є). Побудувати криву в системі координат

View this question

Рівняння кривої записати у канонічному вигляді. Вказати вид кривої. Знайти координати фокусів, вершин, центра. Записати рівняння асимптот (якщо є). Побудувати криву в системі координат

View this question

Для визначника 3-го порядку  вказати мінор М 31:

0%
0%
0%
0%
View this question

Want instant access to all verified answers on bfc.org.ua?

Get Unlimited Answers To Exam Questions - Install Crowdly Extension Now!

Browser

Add to Chrome