Looking for Automati i formalni jezici test answers and solutions? Browse our comprehensive collection of verified answers for Automati i formalni jezici at c2.etf.unsa.ba.
Get instant access to accurate answers and detailed explanations for your course questions. Our community-driven platform helps students succeed!
Neka je zadana neka Turingova mašina M sa ulaznim alfabetom Σ={0,1}. Ndalje, pretpostavimo da univerzalna Turingova mašina UTM U koja je rađena na predavanjima simulira rad TM M. Neka su stanja TM M označena brojevima 1,2,...n, gdje je n broj stanja. Stanje trake UTM U u jednom konkretnom trenutku simulacije je prikazano na slici ispod.
Izaberite ispravne tvrdnje:
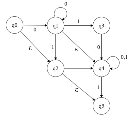
Koliko stanja će imati NKA koji je konstruisan iz datog ε-NKA?
NAPOMENA: netačni odgovori nose negativne bodove
Neka je zadan sljedeći regularni izraz r1
r1= a(a+b)*b(a+b)* + aaa + a
Izaberite koje riječi navedeni ispod se nalaze u jeziku L(r1):
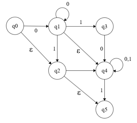
Koliko stanja će imati NKA koji je konstruisan iz datog ε-NKA?
Neka je zadan sljedeći jezik:
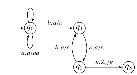
Na slici je zadan potisni automat koji prihvata riječi praznim stack-om sa jednim nedostajućim prijelazom.
Odabrati ispravan prijelaz između stanja q0 i q0.
Neka je zadana sljedeća konteksno neovisna gramatika:
sa sljedećim produkcijskim pravilima:
Odabrati riječi koje se mogu generisati primjenom ovih produkcijskih pravila.
NAPOMENA: netačni odgovori nose negativne bodove.