logo

Crowdly

Browser

Add to Chrome

Automati i formalni jezici

Looking for Automati i formalni jezici test answers and solutions? Browse our comprehensive collection of verified answers for Automati i formalni jezici at c2.etf.unsa.ba.

Get instant access to accurate answers and detailed explanations for your course questions. Our community-driven platform helps students succeed!

Neka je zadana sljedeća konteksto neovisna gramatika G = ({S, A, B, C}, {a, b, c}, P, S). Produkcijska pravila P su definisana na sljedeći način:

  1. S ⟶ abS | abA | abB
  2. A ⟶ ac
  3. B ⟶ aB
  4. C ⟶ a

Odabrati pravilo koje će se izbaciti u procesu pojednostavljenja gramatike primjenom metode odbacivanja nedohvatljivih simbola.

View this question

Neka je zadan sljedeći jezik: 

Na slici je zadan potisni automat koji prihvata riječi praznim stack-om sa jednim nedostajućim prijelazom. 

Odabrati ispravan prijelaz između stanja q0 i q0.

View this question
View this question

Neka je zadana sljedeća konteksno neovisna gramatika: 

 

sa sljedećim produkcijskim pravilima: 

Odabrati riječi koje se mogu generisati primjenom ovih produkcijskih pravila. 

NAPOMENA: netačni odgovori nose negativne bodove.

0%
0%
0%
0%
0%
0%
View this question
View this question

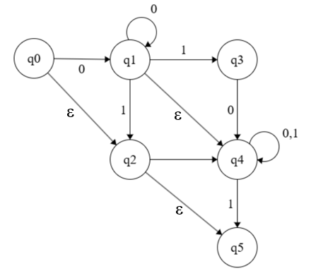
Koliko stanja će imati NKA koji je konstruisan iz datog ε-NKA?

View this question
View this question

Koliko stanja će imati NKA koji je konstruisan iz datog ε-NKA?

View this question
View this question

NAPOMENA: netačni odgovori nose negativne bodove

Neka je zadan sljedeći regularni izraz r1

r1= a + a(a+b)*b(a+b)* + aaa

Izaberite koje riječi navedeni ispod se nalaze u jeziku L(r1):

View this question

Want instant access to all verified answers on c2.etf.unsa.ba?

Get Unlimited Answers To Exam Questions - Install Crowdly Extension Now!

Browser

Add to Chrome