Looking for Electromagnetisme. Curs 24-25. Grup T1 test answers and solutions? Browse our comprehensive collection of verified answers for Electromagnetisme. Curs 24-25. Grup T1 at campusvirtual.ub.edu.
Get instant access to accurate answers and detailed explanations for your course questions. Our community-driven platform helps students succeed!
Un prisma rectangular metálico de Cu está recorrido por una corriente estacionaria de intensidad . Se aplica un campo magnético uniforme perpendicularmente a una de sus caras, tal como se indica en la figura. Si antes de aplicar el campo , ¿qué se puede decir respecto a la situación final?.
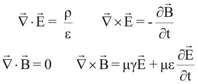
Indique en qué caso se expresan la ecuaciones de Maxwell de la forma siguiente.
Una esfera presenta una imanación permanente de la forma . ¿Cómo es el campo magnético creado por la esfera?
Las expresiones siguientes corresponden a las ecuaciones de Maxwell en el caso de:
Un sistema está constituido por un hilo conductor vertical, en el plano de la página i que a efectos de cálculo se puede considerar indefinido recorrido por una corriente de intensidad I y un electrón que se mueve con velocidad . ¿Cómo debe ser la velocidad para que la fuerza sobre el electrón sea nula?