logo

Crowdly

Browser

Add to Chrome

Electromagnetisme. Curs 24-25. Grup T1

Looking for Electromagnetisme. Curs 24-25. Grup T1 test answers and solutions? Browse our comprehensive collection of verified answers for Electromagnetisme. Curs 24-25. Grup T1 at campusvirtual.ub.edu.

Get instant access to accurate answers and detailed explanations for your course questions. Our community-driven platform helps students succeed!

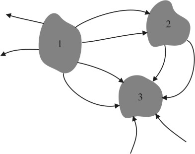
En la figura se representan de forma cualitativa las líneas de campo correspondientes a un sistema de tres conductores en equilibrio electrostático. A partir de la figura indique que relación de los valores de los potenciales y de las cargas de cada uno de los conductores, es correcta.

0%
0%
0%
0%
View this question

Indique cual de las siguientes afirmaciones, referidas al flujo del campo eléctrico a través de una superficie cerrada, es correcta.

View this question
En un campo eléctrico uniforme se introduce paralelamente al campo una lámina dieléctrica indefinida de caras plano paralelas y permitividad . ¿Cuál de las siguientes afirmaciones es falsa?.
View this question
Un condensador mantenido a diferencia de potencial constante, se llena parcialmente con un dieléctrico de permitividad . Indique cuál de las siguientes afirmaciones es cierta.
View this question

En la figura se representan de forma cualitativa las líneas de campo correspondientes a un sistema de tres conductores en equilibrio electrostático. A partir de la figura indique que relación de los valores de los potenciales y de las cargas de cada uno de los conductores, es correcta.

0%
50%
0%
0%
View this question

Indique cual de las siguientes afirmaciones, referidas al flujo del campo eléctrico a través de una superficie cerrada, es correcta.

View this question

Un conductor esférico de radio tiene una energía . Si el conductor está asilado y su radio pasa a ser ¿cuál será su energía?

0%
0%
0%
0%
0%
View this question
La energía electrostática de un sistema de dos cargas puntuales, cada una de valor q, es U. Si el valor de una de las cargas pasa a ser 4q, ¿cuál será ahora el nuevo valor de la energía electrostática?
0%
0%
0%
0%
0%
View this question
El potencial debido a una cierta distribución de carga se expresa, en coordenas cartesianas, como , donde es una constante. Indique cual de las siguientes afirmaciones es falsa.
0%
0%
0%
0%
0%
View this question
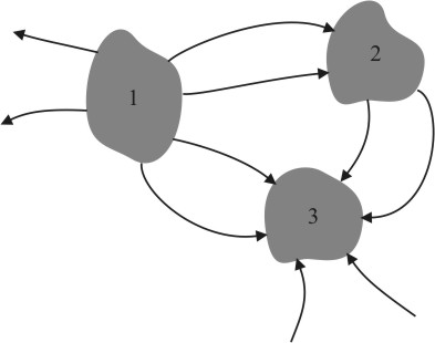
En la figura se representa una situación de tres conductores en equilibrio electrostático. Indique qué relación entre las cargas de los conductores es cierta.
0%
0%
0%
0%
View this question

Want instant access to all verified answers on campusvirtual.ub.edu?

Get Unlimited Answers To Exam Questions - Install Crowdly Extension Now!

Browser

Add to Chrome