logo

Crowdly

Browser

Add to Chrome

Вища математика Механіки

Looking for Вища математика Механіки test answers and solutions? Browse our comprehensive collection of verified answers for Вища математика Механіки at dl.guscoll.com.

Get instant access to accurate answers and detailed explanations for your course questions. Our community-driven platform helps students succeed!

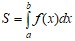
Якщо неперервна крива задана в прямокутних координатах рівнянням y=f(x) [f(x)і0],то площа криволінійної трапеції, обмеженої цією кривою, двома вертикалями в точках х=аі х=bі відрізком осі абсцис аЈхЈb, визначається формулою:

0%
0%
0%
0%
View this question

Якщо функції мають первісні на проміжку (a,b),то на цьому проміжку має первісну і їх сума, причому

0%
0%
100%
0%
View this question

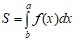
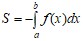
Якщо на відрізку [a,b] функція f(x)і0, то

0%
100%
0%
0%
View this question

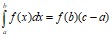
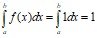
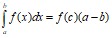
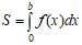
Якщо на відрізку[a,b] функція f(x)=1, то

100%
0%
0%
0%
View this question

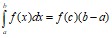
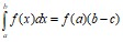
Якщо функція  f(x)інтегровна на відрізку [a,b], то знайдеться така точка сО[a,b], що

0%
0%
100%
0%
View this question

Якщо площа Sобмежена двома неперервними кривими y=f1(x) i y=f2(x)і двома вертикалями х=аі х=b, де f1(x)Јf2(x)при аЈхЈb, то

0%
0%
100%
0%
View this question

Якщо функції диференційовні на проміжку (a,b)і на цьому проміжку існує первісна для функції , то на проміжку (a, b)існує первісна і для функції і має місце рівність

0%
0%
0%
0%
View this question

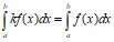
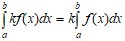
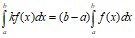
Якщо на відрізку [a,b] інтегрована функція f(x),то на цьому відрізку інтегрована і функція kf(x),причому

0%
0%
0%
100%
View this question

Нехай функція f(x)інтегровна на відрізку [a,b]і Ф(x)-деяка первісна цієї функції на [a,b].Тоді

0%
0%
0%
0%
View this question

Якщо функція має первісну на проміжку (a,b),то на цьому проміжку має первісну і функція і справедлива рівність:

0%
0%
0%
100%
View this question

Want instant access to all verified answers on dl.guscoll.com?

Get Unlimited Answers To Exam Questions - Install Crowdly Extension Now!

Browser

Add to Chrome