logo

Crowdly

Browser

Add to Chrome

Вища математика Механіки

Looking for Вища математика Механіки test answers and solutions? Browse our comprehensive collection of verified answers for Вища математика Механіки at dl.guscoll.com.

Get instant access to accurate answers and detailed explanations for your course questions. Our community-driven platform helps students succeed!

Виберіть метод, що не входить у основні методи інтегрування

0%
100%
0%
0%
View this question

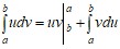
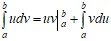
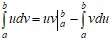
Запишіть формулу інтегрування частинами для визначеного інтеграла

0%
0%
100%
0%
View this question

Довжина дуги гладкої кривої y=f(x), яка міститься між двома точками з абсцисами х=аі х=b, рівна

0%
100%
0%
0%
View this question

Похідна від невизначеного інтеграла дорівнює

100%
0%
0%
0%
View this question

Множина всіх первісних функцій f(x), визначених на проміжку (a,b), називається

0%
0%
0%
0%
View this question

Диференціал від невизначеного інтеграла дорівнює

0%
0%
0%
0%
View this question

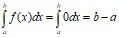
Якщо на відрізку [a,b] функція f(x)=0, то

0%
0%
0%
100%
View this question

Первісною функцією для функції f(x) називається така функція F(x),визначена на проміжку (a,b), що

0%
0%
0%
0%
View this question

Визначеним інтегралом функції y=f(x) на відрізку [a,b] називається

0%
0%
0%
0%
View this question

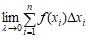
Знайдіть границю функції

0%
0%
0%
0%
View this question

Want instant access to all verified answers on dl.guscoll.com?

Get Unlimited Answers To Exam Questions - Install Crowdly Extension Now!

Browser

Add to Chrome