logo

Crowdly

Browser

Add to Chrome

Вища математика- ІІІ

Looking for Вища математика- ІІІ test answers and solutions? Browse our comprehensive collection of verified answers for Вища математика- ІІІ at dl.kfk.sumdu.edu.ua.

Get instant access to accurate answers and detailed explanations for your course questions. Our community-driven platform helps students succeed!

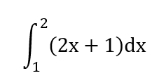
Обчислити визначений інтеграл .

View this question

0%
0%
0%
0%
0%
View this question

Знайти х із рівняння:.

100%
0%
0%
0%
View this question

Скільки є чисел, кратних числу 5, серед 5-ти цифрових чисел, складених з цифр 1,3,5,7 і 9 без повторення?

0%
0%
0%
0%
View this question

0%
0%
0%
100%
0%
View this question

Знайти добуток  матриць. У відповідь запишіть суму елементів, що знаходяться на головній діагоналі матриці, яка вийде у відповіді.

View this question

0%
0%
0%
100%
View this question

0%
0%
0%
100%
0%
View this question

0%
0%
0%
0%
100%
View this question

Знайдіть похідну від функції y=cosπ+2

0%
100%
0%
0%
0%
View this question

Want instant access to all verified answers on dl.kfk.sumdu.edu.ua?

Get Unlimited Answers To Exam Questions - Install Crowdly Extension Now!

Browser

Add to Chrome