logo

Crowdly

Browser

Add to Chrome

Вища математика- ІІІ

Looking for Вища математика- ІІІ test answers and solutions? Browse our comprehensive collection of verified answers for Вища математика- ІІІ at dl.kfk.sumdu.edu.ua.

Get instant access to accurate answers and detailed explanations for your course questions. Our community-driven platform helps students succeed!

(6-і)(6+і)=...

View this question

0%
100%
0%
0%
0%
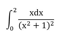
View this question

Знайти добуток матриць .

У відповідь записати суму елементів .

View this question

Визначник дорівнює нулю, якщо

100%
100%
0%
0%
View this question

Імовірність того, що стрілець одним пострілом влучає у ціль, дорівнює 0,4. Стрілець виконав два постріли. Знайти ймовірність того, що обома пострілами стрілець влучив у ціль.

0%
0%
0%
0%
0%
View this question

Імовірність закинути в корзину м'яч для першого хлопчика дорівнює 0,6, а для другого- 0,5. Обидва хлопчики роблять по одному кидку. Яка ймовірність того, що хоча б один з них закине м'яч у корзину?

0%
0%
0%
0%
0%
View this question

100%
0%
0%
0%
0%
View this question

0%
100%
0%
0%
0%
View this question

View this question

0%
100%
0%
0%
0%
View this question

Want instant access to all verified answers on dl.kfk.sumdu.edu.ua?

Get Unlimited Answers To Exam Questions - Install Crowdly Extension Now!

Browser

Add to Chrome