logo

Crowdly

Browser

Add to Chrome

Вища математика- ІІІ

Looking for Вища математика- ІІІ test answers and solutions? Browse our comprehensive collection of verified answers for Вища математика- ІІІ at dl.kfk.sumdu.edu.ua.

Get instant access to accurate answers and detailed explanations for your course questions. Our community-driven platform helps students succeed!

Знайти добуток матриць .

У відповідь записати суму елементів .

View this question

Знайти корінь рівняння: 

0%
100%
0%
0%
0%
View this question

Визначити М21 елемента а21 визначника:

100%
0%
0%
0%
0%
View this question

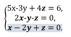
Розв'язати систему лінійних рівнянь методом Крамера:

View this question

Обчислити (5+і)(-2+3і) та вказати дійсну частину комплексного числа.

View this question

(1-3і)(1+3і)=...

View this question

Перейти до алгебраїчної форми комлексного числа .

0%
0%
0%
0%
View this question

Знайти (2+4і)+(3+2і)

0%
0%
0%
0%
View this question

Укажіть тригонометричну форму запису комплексного числа

0%
0%
50%
0%
View this question

Знайти модуль комплексного числа z=-3-4i

0%
0%
0%
0%
100%
View this question

Want instant access to all verified answers on dl.kfk.sumdu.edu.ua?

Get Unlimited Answers To Exam Questions - Install Crowdly Extension Now!

Browser

Add to Chrome