logo

Crowdly

Browser

Add to Chrome

Фізика (весняний семестр)

Looking for Фізика (весняний семестр) test answers and solutions? Browse our comprehensive collection of verified answers for Фізика (весняний семестр) at dl.nure.ua.

Get instant access to accurate answers and detailed explanations for your course questions. Our community-driven platform helps students succeed!

 Що визначає вираз?

0%
0%
0%
0%
0%
View this question

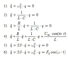
Який з виразів є рівнянням згасаючих коливань у коливальному контурі?

0%
0%
0%
0%
0%
0%
View this question

Чому дорівнює радіус m-й зони Френеля плоскої хвилі?

0%
0%
0%
0%
View this question

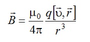
Що визначається наступною формулою?

0%
0%
0%
0%
0%
View this question

Куди спрямоване магнітне поле в точці А?

0%
0%
0%
0%
0%
0%
View this question

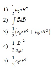
Чому дорівнює густина енергії  магнітного поля? 

0%
0%
0%
0%
0%
View this question

Куди спрямована сила Лоренца?

0%
0%
0%
0%
0%
0%
View this question

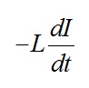
Яка фізична величина визначається формулою?

0%
0%
0%
0%
0%
View this question

0%
0%
0%
0%
View this question

Що з перерахованого справедливо для теплового випромінювання?

0%
0%
0%
0%
0%
View this question

Want instant access to all verified answers on dl.nure.ua?

Get Unlimited Answers To Exam Questions - Install Crowdly Extension Now!

Browser

Add to Chrome