logo

Crowdly

Browser

Add to Chrome

Фізика (весняний семестр)

Looking for Фізика (весняний семестр) test answers and solutions? Browse our comprehensive collection of verified answers for Фізика (весняний семестр) at dl.nure.ua.

Get instant access to accurate answers and detailed explanations for your course questions. Our community-driven platform helps students succeed!

Яка фізична величина визначається наступною формулою?

100%
0%
0%
0%
View this question

Тіло з якою температурою має найбільшу енергетичну світність?

0%
0%
0%
0%
View this question

0%
100%
100%
0%
View this question

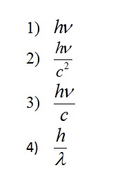
Яка з наступних формул відповідає імпульсу фотона?

100%
0%
0%
0%
View this question

Від чого залежить комптоновське збільшення

довжини хвилі?

0%
0%
0%
0%
0%
View this question

Яке з наведених тіл має найбільше значення поглинальної здатності?

100%
0%
0%
0%
View this question

Яка з наступних формул визначає масу фотона?

0%
100%
0%
0%
View this question

Що називається дисперсією світла?

0%
0%
0%
0%
0%
View this question

Що називається дисперсією дифракційної решітки?

View this question
Когерентними називають хвилі, які
0%
0%
0%
0%
0%
View this question

Want instant access to all verified answers on dl.nure.ua?

Get Unlimited Answers To Exam Questions - Install Crowdly Extension Now!

Browser

Add to Chrome