logo

Crowdly

Browser

Add to Chrome

Фізика (весняний семестр)

Looking for Фізика (весняний семестр) test answers and solutions? Browse our comprehensive collection of verified answers for Фізика (весняний семестр) at dl.nure.ua.

Get instant access to accurate answers and detailed explanations for your course questions. Our community-driven platform helps students succeed!

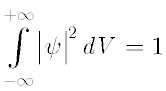
Яким умовам повинна задовольняти псі-функція?

0%
0%
0%
0%
0%
0%
View this question

В чому полягає фізичний зміст  псі-функції?

0%
0%
0%
0%
0%
View this question

Яке з наведених нижче тіл має максимум випромінювання, що припадає на

найменшу довжину хвилі?

0%
0%
100%
0%
View this question

Модель атому водню «пудинг

з родзинками» створив

0%
0%
0%
0%
0%
100%
View this question

Який вигляд має спектр випромінювання окремих

атомів, що не взаємодіють один з одним?

0%
0%
0%
100%
View this question

Від якої з наведених нижче

величин не залежить тиск світла?

0%
0%
0%
0%
0%
View this question

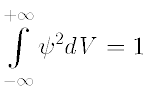
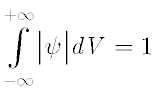
Що стверджує умова

нормування хвильової функції?

100%
0%
0%
0%
0%
0%
View this question

Чому спектр атомарних газів лінійчатий?

100%
0%
0%
0%
View this question

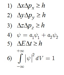
Який з виразів є співвідношенням невизначеностей?

0%
0%
100%
100%
100%
100%
View this question

Чим визначається ймовірність виявлення частинки

в даній точці простору?

View this question

Want instant access to all verified answers on dl.nure.ua?

Get Unlimited Answers To Exam Questions - Install Crowdly Extension Now!

Browser

Add to Chrome