logo

Crowdly

Browser

Add to Chrome

Фізика (весняний семестр)

Looking for Фізика (весняний семестр) test answers and solutions? Browse our comprehensive collection of verified answers for Фізика (весняний семестр) at dl.nure.ua.

Get instant access to accurate answers and detailed explanations for your course questions. Our community-driven platform helps students succeed!

Якій серії відповідають

спектральні лінії в ультрафіолетовій частині спектру атому водню?

0%
0%
0%
0%
0%
0%
View this question

0%
0%
0%
0%
View this question

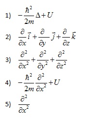
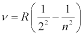
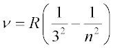
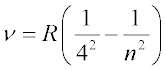
Який з наведених виразів є узагальненою формулою Бальмера?

1)

2)

3)

4)

5)

6)

0%
0%
0%
0%
100%
0%
View this question

Чому дорівнює оператор Лапласа?

0%
0%
100%
0%
0%
View this question

0%
0%
0%
100%
View this question

Який з наведених виразів визначає радіус борівських орбіт атома водню та водньоподібних систем?

100%
0%
0%
0%
View this question

Що стверджує закон Малюса?

0%
0%
0%
0%
View this question

Що стверджує 

співвідношення

невизначеностей 

?

0%
0%
0%
100%
View this question

Як називають перервчасте випромінювання

світла атомами у вигляді окремих коротких імпульсів?

0%
0%
100%
0%
0%
View this question

Коли проявляються хвильові властивості електрона?

100%
0%
0%
100%
0%
View this question

Want instant access to all verified answers on dl.nure.ua?

Get Unlimited Answers To Exam Questions - Install Crowdly Extension Now!

Browser

Add to Chrome