logo

Crowdly

Browser

Add to Chrome

Фізика (весняний семестр)

Looking for Фізика (весняний семестр) test answers and solutions? Browse our comprehensive collection of verified answers for Фізика (весняний семестр) at dl.nure.ua.

Get instant access to accurate answers and detailed explanations for your course questions. Our community-driven platform helps students succeed!

Від чого залежить швидкість

електрона для даної речовини при фотоефекті?

0%
0%
0%
0%
0%
View this question

Що таке корпускулярно – хвильовий дуалізм?

0%
0%
0%
0%
100%
View this question

Які види дифракції ви знаєте?

0%
0%
0%
0%
View this question

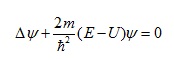
Чому відповідає вираз?

100%
0%
0%
0%
0%
View this question

Що  з перерахованого є часом когерентності?

0%
0%
0%
0%
0%
View this question

Стан квантової частинки

описується хвильовою функцією. Яким тоді виразом визначається імовірність того,

що частинку можна знайти в об’ємі 

V?

0%
0%
100%
0%
0%
View this question

В чому виявляються корпускулярні властивості світла?

100%
0%
100%
100%
100%
0%
View this question

Закони розповсюдження

світла в прозорих середовищах, що базуються на уявленні про нього як про

сукупність промінів

вивчають в

100%
0%
0%
0%
0%
View this question

За якої умови спостерігається максимум інтерференції?

0%
0%
0%
0%
0%
View this question

Від чого, згідно закону Бугера,залежить інтенчивність свіла на виході з речовини?

0%
0%
0%
0%
0%
View this question

Want instant access to all verified answers on dl.nure.ua?

Get Unlimited Answers To Exam Questions - Install Crowdly Extension Now!

Browser

Add to Chrome