logo

Crowdly

Browser

Add to Chrome

Теорія ймовірностей та математична

Looking for Теорія ймовірностей та математична test answers and solutions? Browse our comprehensive collection of verified answers for Теорія ймовірностей та математична at dl.nure.ua.

Get instant access to accurate answers and detailed explanations for your course questions. Our community-driven platform helps students succeed!

0%
100%
0%
0%
View this question

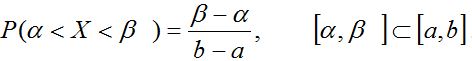
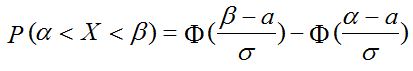
Випадкова величина Х  

має нормальний закон розподілу. Ймовірність влучення

в інтервал [

a, b] визначається за формулою

0%
0%
0%
View this question

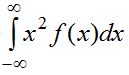
Коефіцієнт ексцесу

характеризує

100%
0%
0%
0%
View this question

Ймовірність влучення

випадкової величини в інтервал дорівнює:

0%
100%
0%
View this question

Математичне сподівання випадкової

величини, що має біноміальний розподіл, дорівнює:

0%
0%
100%
0%
0%
0%
View this question

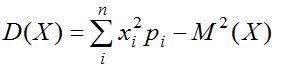
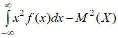
За якою формулою

обчислюється дисперсія неперервної випадкової величини

?

0%
100%
0%
View this question

Щільність розподілу ймовірності

володіє наступними властивостями (вказати невірне):

0%
0%
0%
View this question

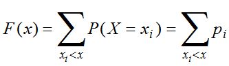
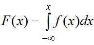
Як визначається функція

розподілу для дискретних випадкових величин

0%
0%
0%
0%
View this question

Біноміальним розподілом випадкової величини Х називають розподіл ймовірності, заданий формулою:

100%
0%
0%
View this question

Яка випадкова величина має

функцію розподілу?

0%
0%
0%
View this question

Want instant access to all verified answers on dl.nure.ua?

Get Unlimited Answers To Exam Questions - Install Crowdly Extension Now!

Browser

Add to Chrome