logo

Crowdly

Browser

Add to Chrome

Моделювання процесів та систем

Looking for Моделювання процесів та систем test answers and solutions? Browse our comprehensive collection of verified answers for Моделювання процесів та систем at dl.nure.ua.

Get instant access to accurate answers and detailed explanations for your course questions. Our community-driven platform helps students succeed!

Для даних Вашого варіанту  потрібно побудувати таблицю  для обчислення меж наближеної множини компромісних  розв'язків

В текстовому полі вкажіть № варіанту, відповідні діапазоні значень часткових критеріїв, таблицю зі значеннями критеріїв та функції корисності, таблицю з  оптимізацією  за частковими критеріями, межі наближеної області компромісних розв'язків

View this question

Виберіть оператори, які відповідають виділеному елементу Q схеми

0%
0%
0%
100%
View this question

Виберіть оператори, які відповідають виділеному елементу Q схеми

0%
100%
0%
0%
View this question

Виберіть оператори, які відповідають виділеному елементу Q схеми

0%
0%
0%
0%
View this question

Який канал найбільш завантажений?

0%
0%
50%
0%
50%
0%
View this question

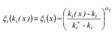
Загальна функція корисност має вигляд:

виберіть  відповідне значення  параметра функції локальної корисності до виду залежності функції корисності

View this question

При якому значенні адаптаційного параметру  модель  дозволяє вибирати розв’язки, що максимізують сумарну корисність?

0%
0%
0%
View this question

При якому значенні адаптаційного параметру    модель  дозволяє вибирати розв’язки, що за схемою максімина?

0%
0%
0%
View this question

Мариця коефіціетнів при неідомих  в системі рівняь 

Ветор правої частини системи рівнянь  

До якої моделі обєкту  побудована система рівнянь з метою визначення її параметрів? 

0%
0%
0%
0%
View this question

Для оцінки максимальних відносних збурень (похибок)

розв’язків використовувати співвідношення

67%
0%
0%
View this question

Want instant access to all verified answers on dl.nure.ua?

Get Unlimited Answers To Exam Questions - Install Crowdly Extension Now!

Browser

Add to Chrome