logo

Crowdly

Browser

Add to Chrome

Моделювання процесів та систем

Looking for Моделювання процесів та систем test answers and solutions? Browse our comprehensive collection of verified answers for Моделювання процесів та систем at dl.nure.ua.

Get instant access to accurate answers and detailed explanations for your course questions. Our community-driven platform helps students succeed!

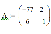
Обчисліть норму матриці    

формулв

100%
0%
0%
0%
View this question

Обчисліть число обумовленості матриці    А, якщо відома зворотна матриця

формулаформула

50%
0%
50%
View this question

Яка статистична інформація буде надана в таблиці PAR (дивись текст програми)

Par Table Q$Och 0,8,15

Generate 10,2

 Queue Och

Seize Kan

Depart Och

Advance 45,5

Release Kan

Tabulate Par,1

Terminate

Generate 1000

Terminate 1

Start 1

Виберіть правильну відповідь

0%
0%
67%
33%
View this question

Потрібно пояснити роботу програми

Tpreb Table Qt$Och 0,15,12

Raspr Table Fn$Ravnm 7,4,12

Ravnm Function Rn1,C2

0,2/1,10

Puass Fvariable 6#Fn$Expon

Expon Function Rn1 C24

0,0/.1,.104/.2,.222/.3,.355/.4,.509/.5,.69/.6,.915

.7,1.2/.75,1.38/.8,1.6/.84,1.83/.88,2.12/.9,2.3/.92,2.52

.94,2.81/.95,2.99/.96,3.2/.97,3.5/.98,3.9/.99,4.6

.995,5.3/.998,6.2/.999,7/1,8

Generate Fn$Ravnm

Povt Queue Och

Seize Kan

Depart Och

Advance V$Puass

Release Kan

Transfer .23,,Povt

Tabulate Tpreb,1

Terminate

Generate 720

Terminate 1

Start 1,NP

Reset

View this question

Для функції:           

та  обмежень             

обчислити прогнозні оцінки похибок розв’язання задачі 

    (формула 6.5)  для  N= 100, n=34,  

 

0%
0%
100%
0%
View this question

Для функції:           

та  обмежень             

обчислити значення похибок визначення площі фігури за результатами статистичного моделювання 

, якщо

 N= 10, n=5 

0%
0%
0%
View this question

Для функції:           

та  обмежень             

обчислити прогнозні оцінки похибок розв’язання задачі 

    (формула 6.5)  для  N= 100, n=34,  

 

0%
0%
0%
0%
View this question

Функція задана:

обмеження

      

Виберіть відповідний графік

0%
0%
50%
View this question

Визначити множину компромісів для 

0%
0%
0%
0%
View this question

Визначити найкращий компромісний варіант за максимінним критерієм на

множині альтернатив

100%
0%
0%
100%
View this question

Want instant access to all verified answers on dl.nure.ua?

Get Unlimited Answers To Exam Questions - Install Crowdly Extension Now!

Browser

Add to Chrome