logo

Crowdly

Browser

Add to Chrome

Моделювання процесів та систем

Looking for Моделювання процесів та систем test answers and solutions? Browse our comprehensive collection of verified answers for Моделювання процесів та систем at dl.nure.ua.

Get instant access to accurate answers and detailed explanations for your course questions. Our community-driven platform helps students succeed!

Визначити множину

компромісів для варіантів, що задані значеннями функцій корисності часткових

критеріїв.

0%
0%
0%
0%
View this question
При   універсальна адаптивна модель дозволяє вибирати розв’язок:
0%
0%
0%
0%
View this question

Яке із

співвідношень визначає динаміку об’єкта за методом перетворення Лапласа?

0%
0%
100%
0%
View this question

Для функції:           

та  обмежень             

обчислити прогнозні оцінки похибок розв’язання задачі 

    (формула 6.5)  для  N= 100, n=34,  

 

0%
50%
50%
0%
View this question

Вкажіть порядок виконання функцій елементами структурної схеми системи 

View this question

При якому значенні адаптаційного параметру    модель  дозволяє вибирати розв’язки, що за схемою максімина?

0%
0%
0%
View this question

При якому значенні адаптаційного параметру  модель  дозволяє вибирати розв’язки, що максимізують сумарну корисність?

0%
0%
0%
View this question

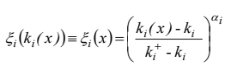
Загальна функція корисност має вигляд:

виберіть  відповідне значення  параметра функції локальної корисності до виду залежності функції корисності

View this question

Для функції:           

та  обмежень             

обчислити значення похибок визначення площі фігури за результатами статистичного моделювання 

, якщо

 N= 10, n=5 

0%
0%
0%
View this question

Для функції:           

та  обмежень

      

обчислить аналітичним методом значення площі фігури обмеженої графіком функції з урахуванням обмежень

0%
100%
0%
View this question

Want instant access to all verified answers on dl.nure.ua?

Get Unlimited Answers To Exam Questions - Install Crowdly Extension Now!

Browser

Add to Chrome