logo

Crowdly

Browser

Add to Chrome

Моделювання процесів та систем

Looking for Моделювання процесів та систем test answers and solutions? Browse our comprehensive collection of verified answers for Моделювання процесів та систем at dl.nure.ua.

Get instant access to accurate answers and detailed explanations for your course questions. Our community-driven platform helps students succeed!

Для ВАШОГО ВАРІАНТУ ( див. номера варіантів)  потрібно розрахувати  за методом Рунге-Кутта динаміку  руху об'єкта під впливом ЗБУРЕННЯ з кроком=1 та надати табличне подання траєкторій (ПРИКРІПИТЬ файл  МathCAD з розв'язком  або для версії   PTC MathCAD PRIME - файл-скриншот розрахунків)

Вкажіть в текстовому полі номер варіанту та  скриншот значень з методичних вказівок

ПРИКЛАД

  , ,знайдіть вектор початкових умов

  перед розрахунками

View this question

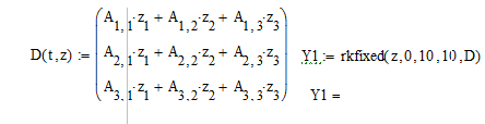
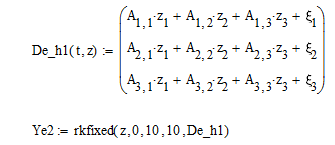
Потрібно для матриці   , знайденого вектору початкових умов , вектору збурень  

розрахувати  за методом Рунге - Кутти динаміку  руку об'єкта під впливом збурення, 

крок =0,01

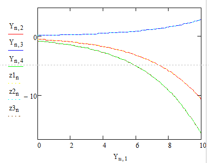
ВИБЕРІТЬ ВІДПОВІДНИЙ РОЗРАХУНКАМ ГРАФІК збуреного руху,  суміщений з графіками вільного руху, побудованими аналітичним методом

0%
0%
100%
View this question

Потрібно  знайти точність  чисельного розв'язку для матриці   та знайденого вектору початкових умов   окремо для кожній траєкторії

 Виберіть відповідні значення 

View this question

ПОТРІБНО сформувати табличне подання аналітичного розрахунку траєкторії в моменти часу від 0 до 10 з кроком=1

Для ВАШОГО ВАРІАНТУ ( див. номера варіантів)   знайдіть вектор початкових умов ,

розрахувати  за аналітичним методом динаміку вільного руку об'єкта з кроком=1 та надайте табличне подання траєкторій (ПРИКРІПИТЬ файл  МathCAD з розв'язком  або СКРИНШОТ для версії   PTC MathCAD PRIME - файл-скриншот розрахунків)

Вкажіть в текстовому полі номер варіанту та  скриншот значень з методичних вказівок,

також для версії   PTC MathCAD PRIME - файл-скриншот розрахунків

ПРИКЛАД формули:

             

 

View this question

Потрібно для матриці   та знайденого вектору початкових умов 

розрахувати  за  аналітичним методом  динаміку вільного руку 

Зверніть увагу, що індексація масивів  починається з одиниці. Для цього потрібно  вказати  перед розрахунками. 

Як приклад,  для обчислення значень аналітичної функції  в моменти часу від 0 до 10 з кроком = 0,1 можна використовувати в МаthCAD формулу ,

де і- це номер відповідної траєкторії

- значення вектора початкових умов для і-ої траєкторії

- значення власного числа

 - номера кроків з попередньо обчисленої таблиці для вільного руху з кроком 0,1 , можна задати відлік кроку в іншій спосіб  

ВИБЕРІТЬ ВІДПОВІДНИЙ РОЗРАХУНКАМ графік АНАЛІТИЧНОГО розв'язку, суміщений з графіком розрахунків методом Рунге- Кутти з кроком =0,1

0%
0%
0%
0%
View this question

Потрібно для матриці   та знайденого вектору початкових умов 

розрахувати  за методом Рунге-Кутта динаміку вільного руку об'єкта, знайти табличне подання для кроку=1

Зверніть увагу, що індексація масивів  починається з одиниці. Для цього потрібно  вказати  перед розрахунками

 За отриманою таблицею знайдіть значення  відповідних координат

View this question

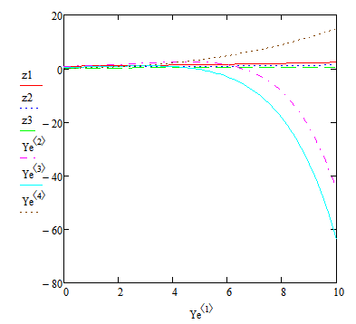
Потрібно для матриці   та знайденого вектору початкових умов 

розрахувати  за методом Рунге-Кутта динаміку вільного руку об'єкта

Зверніть увагу, що індексація масивів  починається з одиниці. Для цього потрібно  вказати  перед розрахунками

ВИБЕРІТЬ ВІДПОВІДНИЙ РОЗРАХУНКАМ ГРАФІК

0%
0%
0%
View this question

За умовами задачі  в якості початкових умов  обираємо власний вектор , що  має всі ненульові  координати .

Для вхідних даних

Серед обчисленних власних векторів за  допомогою  функції      

  

Виберіть правильні  значення елементів вектора

View this question

Потрібно обчислити  власні вектори     матриці  

Виберіть правильні значення власних векторів для заданої матриці А

- власні числа матриці

0%
100%
0%
0%
View this question

Для матриці  потрібно обчислити  власні числа , i=1.2.3    

Виберіть правильні значення власних чисел для заданої матриці А

View this question

Want instant access to all verified answers on dl.nure.ua?

Get Unlimited Answers To Exam Questions - Install Crowdly Extension Now!

Browser

Add to Chrome